Open Access

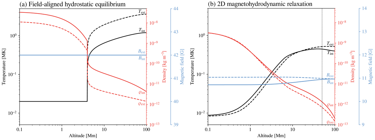
Fig. 3.

image

Download original image

Temperature (black), density (red), and magnetic field magnitude (blue) profiles inside (r = 0 Mm; solid lines) and outside (r = 8 Mm; dashed lines) the flux tube. (a) After solving the field-aligned hydrostatic equilibrium. (b) After the 2D magnetohydrodynamic relaxation.

Current usage metrics show cumulative count of Article Views (full-text article views including HTML views, PDF and ePub downloads, according to the available data) and Abstracts Views on Vision4Press platform.

Data correspond to usage on the plateform after 2015. The current usage metrics is available 48-96 hours after online publication and is updated daily on week days.

Initial download of the metrics may take a while.