Open Access

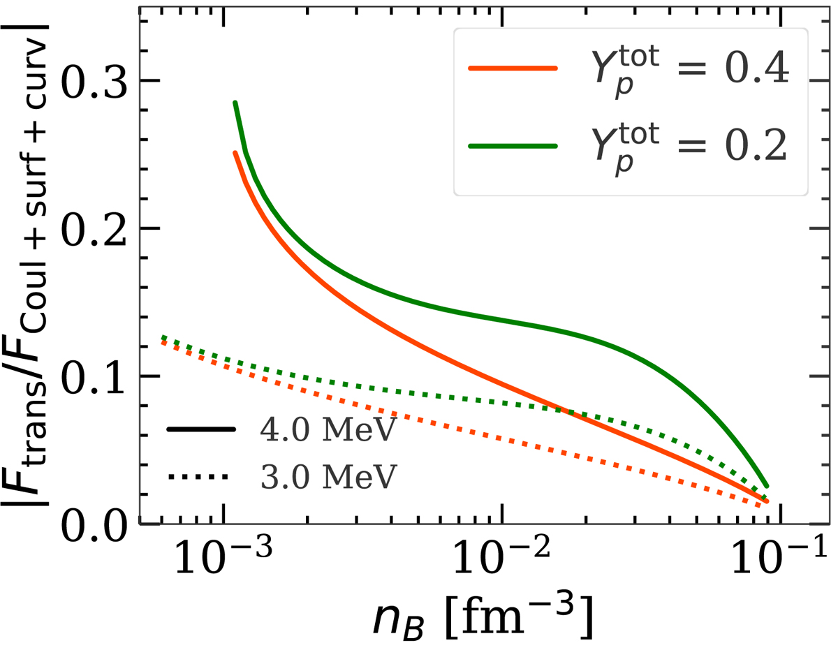
Fig. 12.

image

Download original image

Absolute value of the ratio of the translational energy to the sum of surface, curvature, and Coulombs energies as a function of the baryonic density nB for the BSk24 model at kBT = 4.0 MeV (solid lines) and kBT = 3.0 MeV (dotted lines), for (red lines) and (green lines).

Current usage metrics show cumulative count of Article Views (full-text article views including HTML views, PDF and ePub downloads, according to the available data) and Abstracts Views on Vision4Press platform.

Data correspond to usage on the plateform after 2015. The current usage metrics is available 48-96 hours after online publication and is updated daily on week days.

Initial download of the metrics may take a while.