Open Access

Fig. 9.

image

Download original image

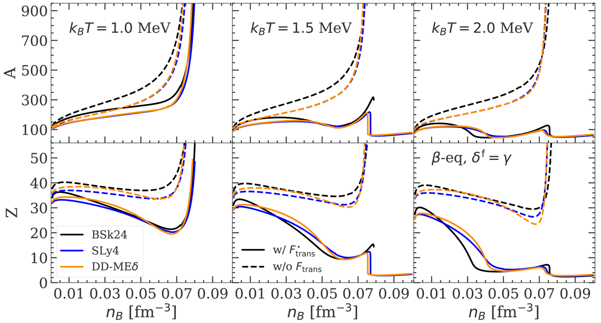
Cluster mass number A (upper panels) and proton number Z (lower panels) as a function of the baryonic density nB for the BSk24 (black lines), SLy4 (blue lines), and DD-MEδ (orange lines) models at three different temperatures: kBT = 1.0 MeV (left panels), kBT = 1.5 MeV (middle panels), and kBT = 2.0 MeV (right panels). The solid (dashed) lines are obtained with (without) the effective translational energy , Eq. (48), with δf = γ.

Current usage metrics show cumulative count of Article Views (full-text article views including HTML views, PDF and ePub downloads, according to the available data) and Abstracts Views on Vision4Press platform.

Data correspond to usage on the plateform after 2015. The current usage metrics is available 48-96 hours after online publication and is updated daily on week days.

Initial download of the metrics may take a while.