Open Access

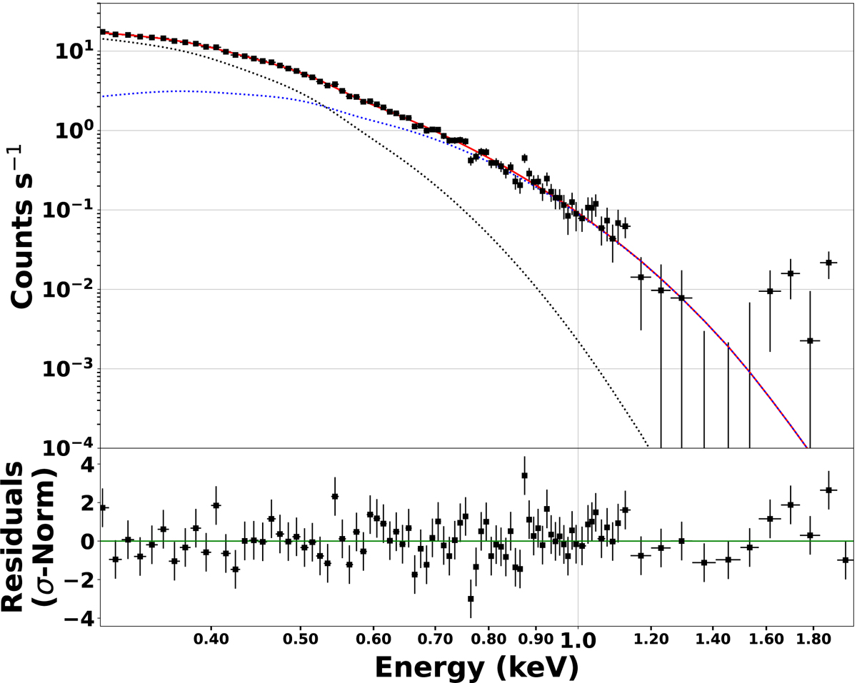
Fig. 5.

image

Download original image

Spectrum from NICER for the cumulative observation time. The best-fit double-blackbody model (2BB) is shown in red, with the two blackbody components shown as dashed black and blue lines. The residuals of our best-fit model are shown in the bottom panel.

Current usage metrics show cumulative count of Article Views (full-text article views including HTML views, PDF and ePub downloads, according to the available data) and Abstracts Views on Vision4Press platform.

Data correspond to usage on the plateform after 2015. The current usage metrics is available 48-96 hours after online publication and is updated daily on week days.

Initial download of the metrics may take a while.