Open Access

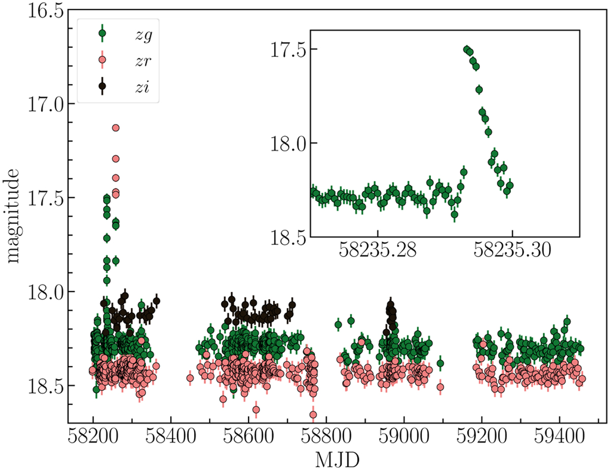
Fig. 10

image

Download original image

Light curves of a white dwarf-M-dwarf binary system. Observational data correspond to OIDs: 676113300003418 (zg), 676213300006792 (zr), and 676313300009030 (zi). Inset plot shows a zoomed high-cadence zg-band light curve with flare and possible periodicity.

Current usage metrics show cumulative count of Article Views (full-text article views including HTML views, PDF and ePub downloads, according to the available data) and Abstracts Views on Vision4Press platform.

Data correspond to usage on the plateform after 2015. The current usage metrics is available 48-96 hours after online publication and is updated daily on week days.

Initial download of the metrics may take a while.