Open Access

Fig. 4

image

Download original image

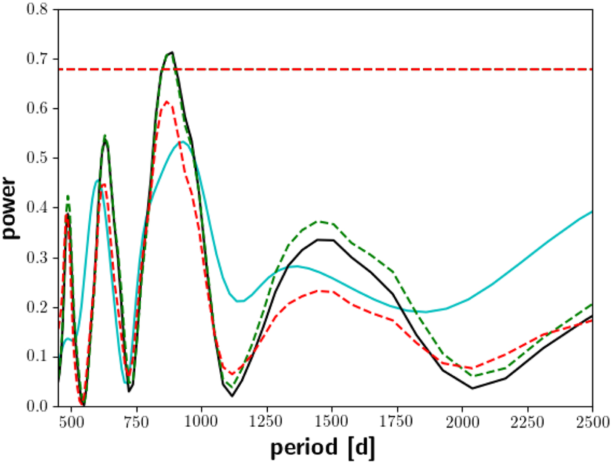
GLS power of the X-ray flux time series. The solid black line corresponds to the GLS power computed from the X-ray fluxes of set III defined in Sect. 2.3.2, the dashed green line corresponds to set I, and the dashed red line corresponds to setII. The solid cyan line shows the power of the GLS for the TIGRE SMWO measurements, which are observed in about the same time interval as the X-ray data. The dashed red line shows the 1% FAP level for the X-ray GLSs.

Current usage metrics show cumulative count of Article Views (full-text article views including HTML views, PDF and ePub downloads, according to the available data) and Abstracts Views on Vision4Press platform.

Data correspond to usage on the plateform after 2015. The current usage metrics is available 48-96 hours after online publication and is updated daily on week days.

Initial download of the metrics may take a while.