Open Access

Fig. 1.

image

Download original image

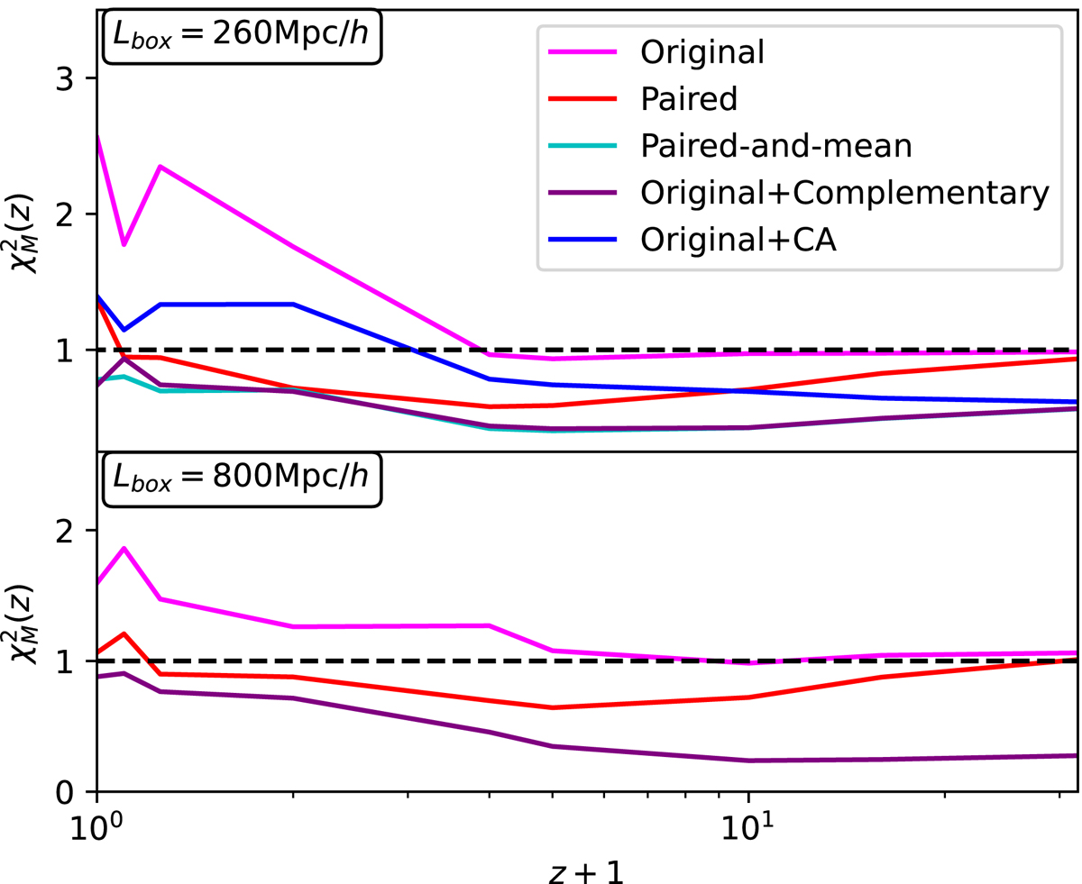
Reduced chi-squared statistics of the power spectrum. If this quantity is close to one, the power spectrum of the given method is consistent with the PF method. While the original simulation becomes inconsistent with the cosmic average power spectrum at late times, the average power spectrum of the PM and O–C simulations is a good match to the PF results. We used all available k ≤ 1.5 Mpc h−1 modes when we calculated these functions.

Current usage metrics show cumulative count of Article Views (full-text article views including HTML views, PDF and ePub downloads, according to the available data) and Abstracts Views on Vision4Press platform.

Data correspond to usage on the plateform after 2015. The current usage metrics is available 48-96 hours after online publication and is updated daily on week days.

Initial download of the metrics may take a while.