Open Access

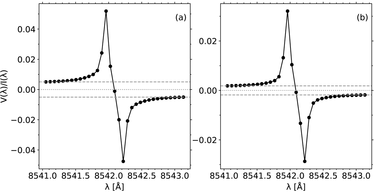
Fig. 5.

image

Download original image

Synthetic V profiles computed from different gradients in B between log(τ500) = 1.3 and −5.3: from 1000 to 100 G (panel a) and from 300 to 100 G (panel b). The dashed gray lines mark the V values at the first and last wavelength positions, and the dotted gray lines indicate zero polarization signal.

Current usage metrics show cumulative count of Article Views (full-text article views including HTML views, PDF and ePub downloads, according to the available data) and Abstracts Views on Vision4Press platform.

Data correspond to usage on the plateform after 2015. The current usage metrics is available 48-96 hours after online publication and is updated daily on week days.

Initial download of the metrics may take a while.