Open Access

Fig. 15.

image

Download original image

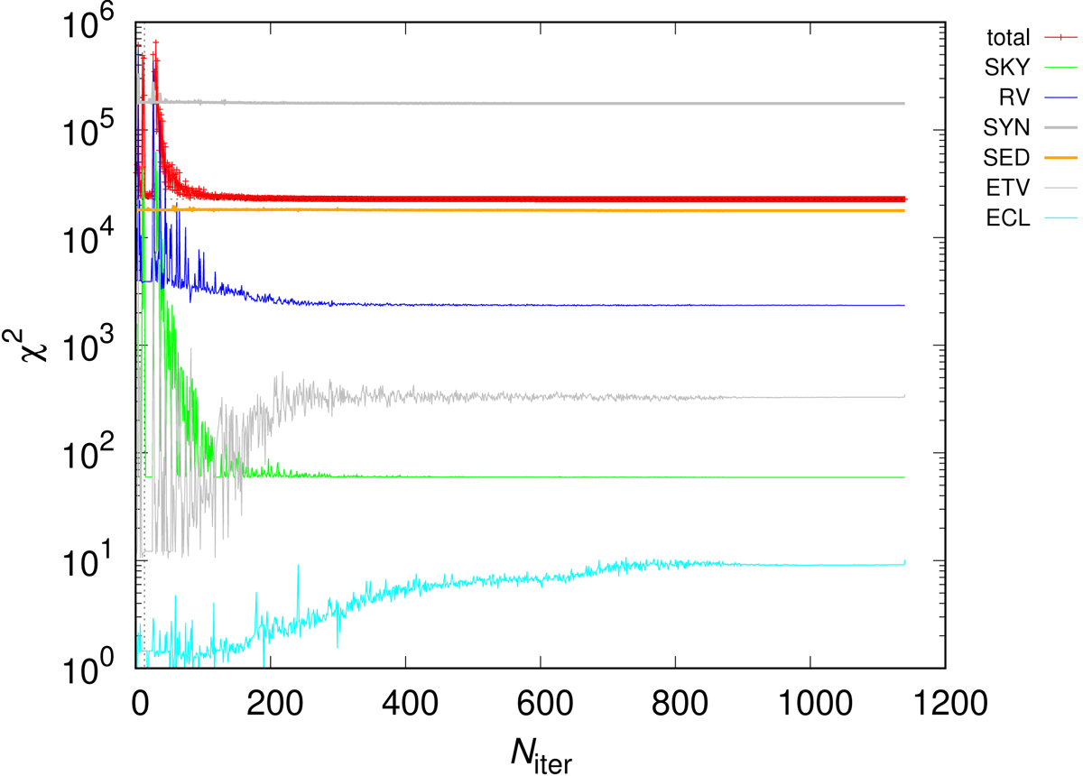
Example of a convergence of the three-body model of δ Ori. The individual contributions to χ2 correspond to astrometry (SKY), radial velocities (RV), eclipse timings (ETV), eclipse duration (ECL), synthetic spectra (SYN), and the spectral energy distribution (SED). The total χ2 is summed with non-unit weights (see values in the main text).

Current usage metrics show cumulative count of Article Views (full-text article views including HTML views, PDF and ePub downloads, according to the available data) and Abstracts Views on Vision4Press platform.

Data correspond to usage on the plateform after 2015. The current usage metrics is available 48-96 hours after online publication and is updated daily on week days.

Initial download of the metrics may take a while.