Open Access

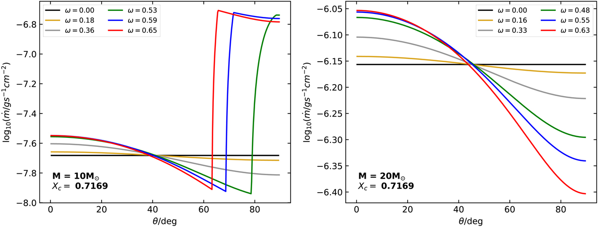
Fig. 1.

image

Download original image

Mass-loss rate per unit surface area as a function of colatitude, θ, for 10 M (left panel) and 20 M models (right panel) at various rotation rates. All models have burnt 3% by mass of their initial hydrogen (i.e., Xc = 0.7169). Critical velocity fraction, ω, is depicted in the legend.

Current usage metrics show cumulative count of Article Views (full-text article views including HTML views, PDF and ePub downloads, according to the available data) and Abstracts Views on Vision4Press platform.

Data correspond to usage on the plateform after 2015. The current usage metrics is available 48-96 hours after online publication and is updated daily on week days.

Initial download of the metrics may take a while.