Open Access

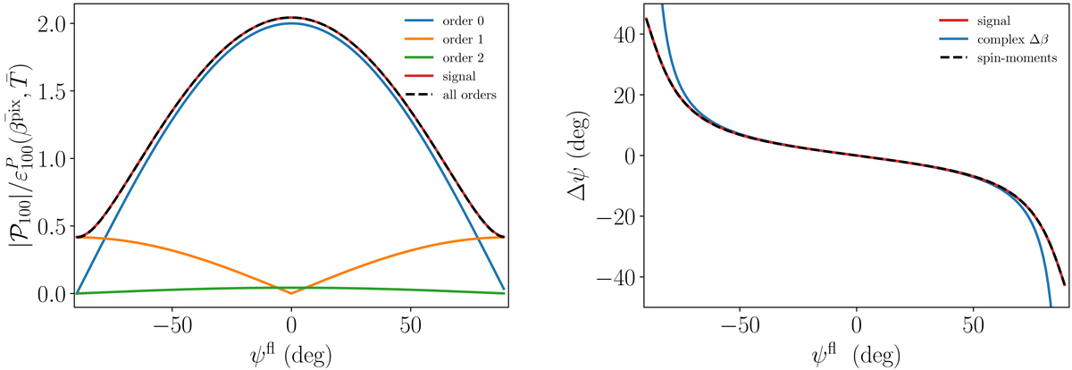
Fig. 2.

image

Download original image

Total polarization spinor in a single pixel of the filament of the toy model for ψbg = 0° and various values of the filament polarization angle ψfl. Left: modulus of the total signal at 100 GHz normalized by the pivot MBB (red) and modulus of the analytical derivation from the spin-moment expansion up to second order (black dashed line). The modulus of each term is displayed: order 0: |𝒲0| (blue), order 1: (orange), and order 2: (green). Right: difference of the polarization angles between the two frequencies. Signal (red), prediction from the complex Δβ correction (blue) and from the spin-moment expansion up to second order (black dashed line).

Current usage metrics show cumulative count of Article Views (full-text article views including HTML views, PDF and ePub downloads, according to the available data) and Abstracts Views on Vision4Press platform.

Data correspond to usage on the plateform after 2015. The current usage metrics is available 48-96 hours after online publication and is updated daily on week days.

Initial download of the metrics may take a while.