Open Access

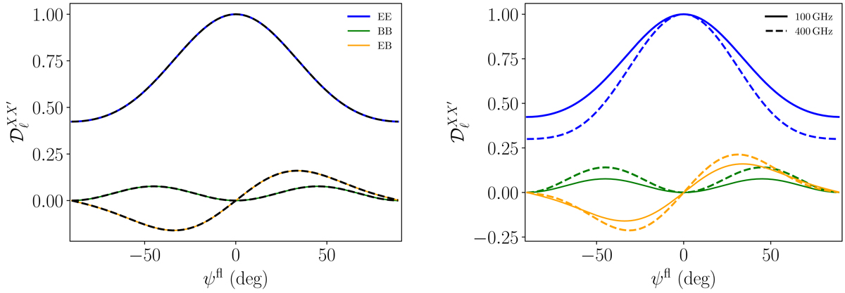
Fig. 3.

image

Download original image

Mean polarized power spectra for the toy model filament with ψbg = 0° and various values of the filament polarization angle ψfl. The EE (blue), BB (green), and EB (orange) angular power spectra are given at two different frequencies: 100 (continuous line) and 400 GHz (dashed line). Each spectra was normalized by the maximum value of . Left: no SED distortions: βfl = βbg = 1.5. Right: with SED distortions: βfl = 1.8 and βbg = 1.5.

Current usage metrics show cumulative count of Article Views (full-text article views including HTML views, PDF and ePub downloads, according to the available data) and Abstracts Views on Vision4Press platform.

Data correspond to usage on the plateform after 2015. The current usage metrics is available 48-96 hours after online publication and is updated daily on week days.

Initial download of the metrics may take a while.