Open Access

Fig. 14.

image

Download original image

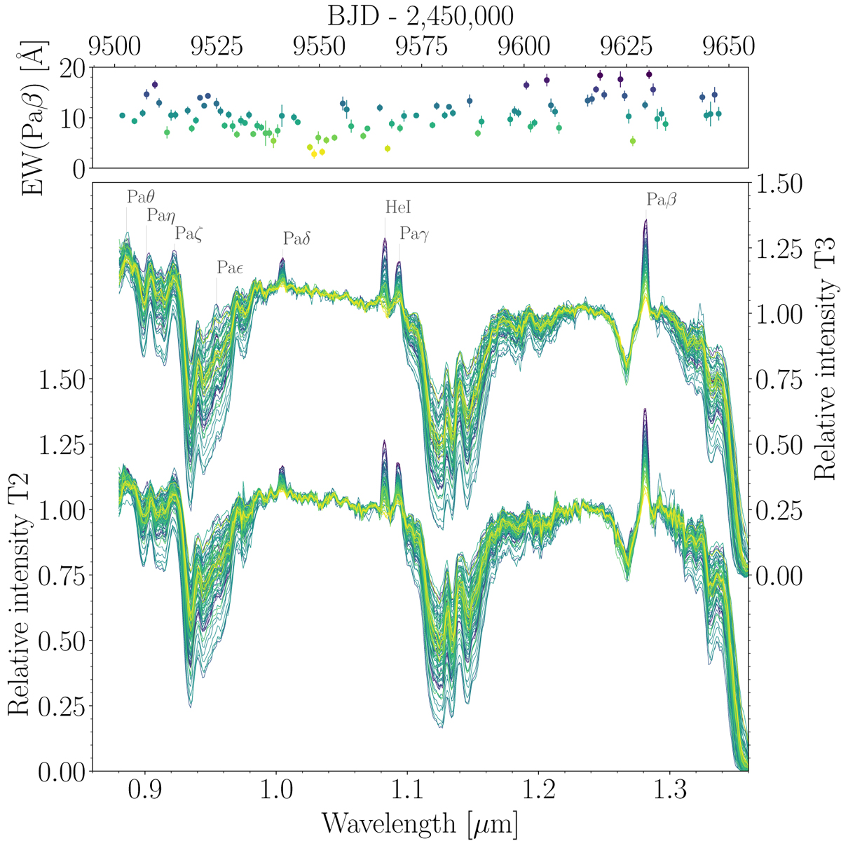
Median spectrum for each night from the ExTrA-T2 telescope (lower part, 88 spectra) and ExTrA-T3 telescope (upper part, 69 spectra). The main emission lines are indicated. The color is proportional to the EW of the Paβ line shown in the top panel as a function of Julian date.

Current usage metrics show cumulative count of Article Views (full-text article views including HTML views, PDF and ePub downloads, according to the available data) and Abstracts Views on Vision4Press platform.

Data correspond to usage on the plateform after 2015. The current usage metrics is available 48-96 hours after online publication and is updated daily on week days.

Initial download of the metrics may take a while.