Open Access

Fig. 18.

image

Download original image

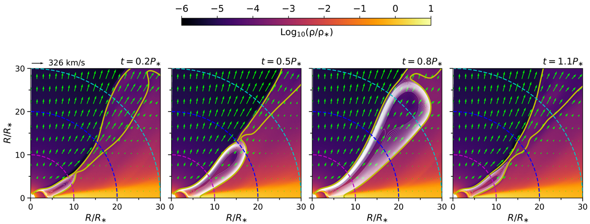
Magnetospheric ejection model. Development of a magnetospheric ejection computed from star-disk interaction MHD simulations. The snapshots shown here are extracted from model 3 of Pantolmos et al. (2020), where the magnetospheric truncation radius amounts to 54% of the corotation radius. The three snapshots are shown at 0.2, 0.5, 0.8, and 1.1Prot. The white curves indicate expanding magnetic field lines that give rise to the ejection of plasmoids. The color scale indicates density. The green arrows show the velocity field of the stellar and disk winds and of MEs at their interface.

Current usage metrics show cumulative count of Article Views (full-text article views including HTML views, PDF and ePub downloads, according to the available data) and Abstracts Views on Vision4Press platform.

Data correspond to usage on the plateform after 2015. The current usage metrics is available 48-96 hours after online publication and is updated daily on week days.

Initial download of the metrics may take a while.