Open Access

Fig. 2

image

Download original image

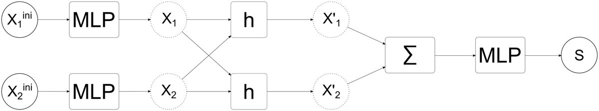
Schematic architecture of NezNet. The input features are first processed by a dense network. Message passing between the two layers through Eq. (1) is then applied to take the relative differences and global values of the features into account. Before the final dense layer, the features are summed and then reprocessed with an MLP to output the score probability of two galaxies being actual neighbours.

Current usage metrics show cumulative count of Article Views (full-text article views including HTML views, PDF and ePub downloads, according to the available data) and Abstracts Views on Vision4Press platform.

Data correspond to usage on the plateform after 2015. The current usage metrics is available 48-96 hours after online publication and is updated daily on week days.

Initial download of the metrics may take a while.