Open Access

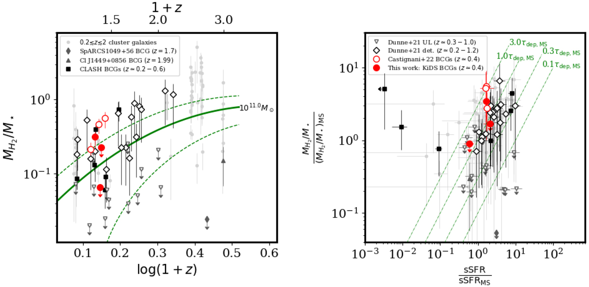
Fig. 4.

image

Download original image

Molecular gas properties of distant BCGs and cluster galaxies observed in CO. Left: evolution of the molecular gas-to-stellar mass ratio as a function of the redshift for cluster galaxies at 0.2 ≲ z ≲ 2 observed in CO. The solid green curve is the scaling relation found by Tacconi et al. (2018) for field galaxies in the MS and with log(M/M) = 11, which corresponds to the median stellar mass of all sources in the plot. The dashed green lines show the statistical 1σ uncertainties in the model. Right: molecular gas-to-stellar mass ratio plotted against the sSFR for the cluster galaxies, normalized to the corresponding MS values using the relations for the ratio and the SFR by Tacconi et al. (2018) and Speagle et al. (2014), respectively. The dot-dashed green lines show different depletion times in units of the depletion time at the MS. The points in both panels show cluster galaxies with molecular gas observations. The color code is reported at the top left of each panel. KiDS BCGs of this work are reported as filled red circles, and open circles refer to KiDS BCGs in C22a. Additional distant BCGs from the literature are also highlighted. We refer to the text for further details.

Current usage metrics show cumulative count of Article Views (full-text article views including HTML views, PDF and ePub downloads, according to the available data) and Abstracts Views on Vision4Press platform.

Data correspond to usage on the plateform after 2015. The current usage metrics is available 48-96 hours after online publication and is updated daily on week days.

Initial download of the metrics may take a while.