Open Access

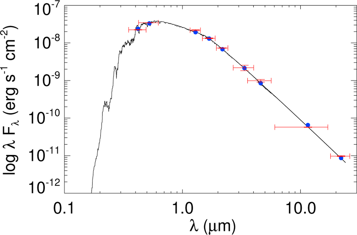
Fig. 2

image

Download original image

Spectral energy distribution of the host star HD 63433 with the best-fit model overplotted (solid line). Red and blue points correspond to the observed and predicted values, respectively.

Current usage metrics show cumulative count of Article Views (full-text article views including HTML views, PDF and ePub downloads, according to the available data) and Abstracts Views on Vision4Press platform.

Data correspond to usage on the plateform after 2015. The current usage metrics is available 48-96 hours after online publication and is updated daily on week days.

Initial download of the metrics may take a while.