Press Release
Open Access

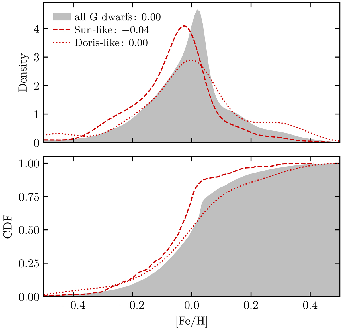
Fig. B.9.

image

Download original image

[Fe/H] distribution for the full G-dwarf sample (shaded gray), the Sun-like stars (dashed red), and the Doris-like stars (dotted red). The bottom panel shows the CDFs, where one can identify more clearly the differences between the samples. The median values of the distributions are also identified.

Current usage metrics show cumulative count of Article Views (full-text article views including HTML views, PDF and ePub downloads, according to the available data) and Abstracts Views on Vision4Press platform.

Data correspond to usage on the plateform after 2015. The current usage metrics is available 48-96 hours after online publication and is updated daily on week days.

Initial download of the metrics may take a while.