Open Access

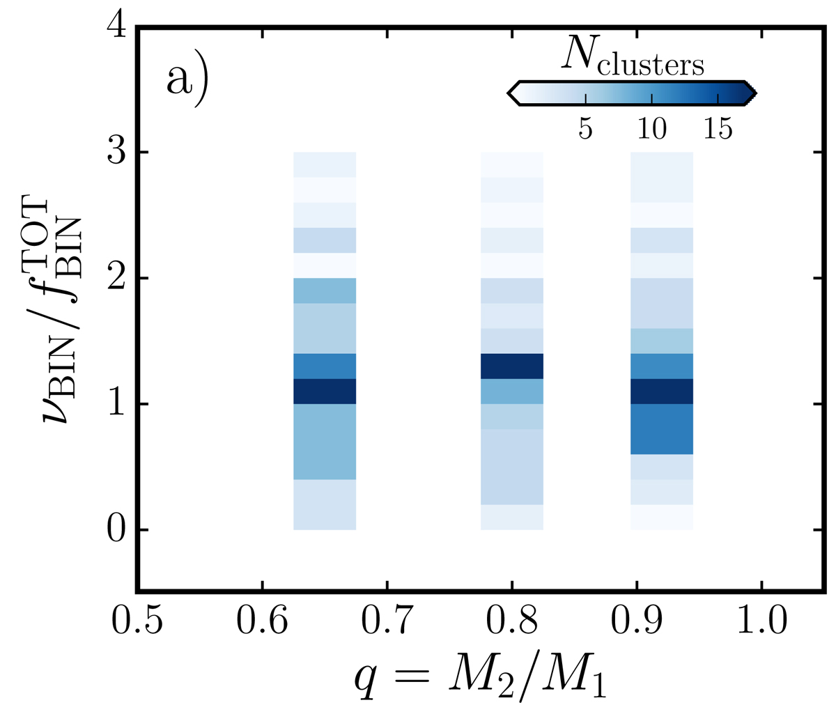
Fig. 14.

image

Download original image

Binary fraction mass-ratio distribution. The binary fraction in each mass-ratio bin has been normalized over the width of the bin, in q, and the total fraction of binaries extrapolated assuming a flat mass ratio distribution. Each cell is color coded according to the number of observations in that particular bin, as specified in the top right color bar.

Current usage metrics show cumulative count of Article Views (full-text article views including HTML views, PDF and ePub downloads, according to the available data) and Abstracts Views on Vision4Press platform.

Data correspond to usage on the plateform after 2015. The current usage metrics is available 48-96 hours after online publication and is updated daily on week days.

Initial download of the metrics may take a while.