Open Access

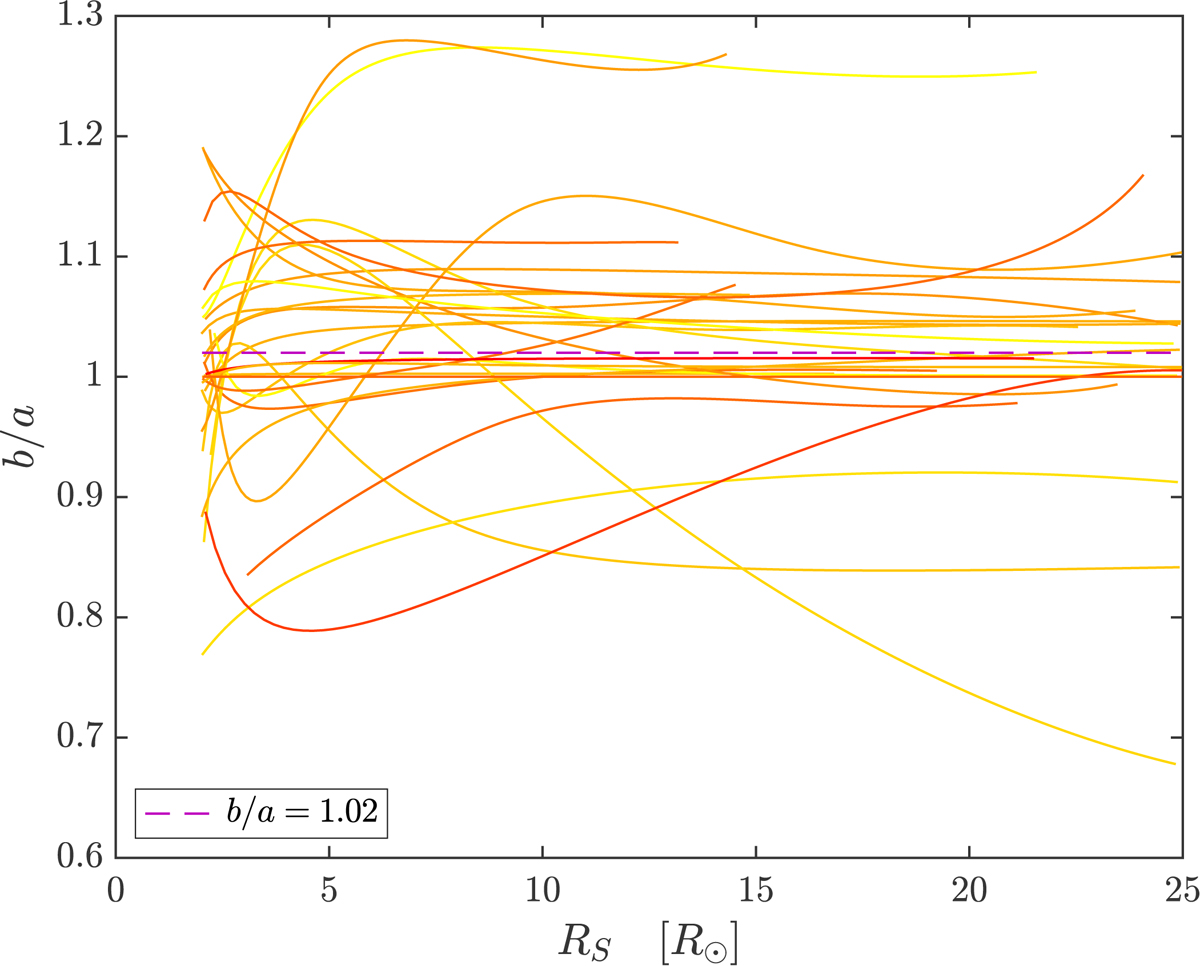
Fig. 5.

image

Download original image

Ratio b(t)/a(t) as a function of RS in solar radius units for the 32 events. The colours correspond to the solar activity of the event day, with, from yellow to red, the smallest to the largest number of sunspots observed. The purple dashed line represents the overall ⟨b/a⟩ ratio, i.e. b = 1.02 × a.

Current usage metrics show cumulative count of Article Views (full-text article views including HTML views, PDF and ePub downloads, according to the available data) and Abstracts Views on Vision4Press platform.

Data correspond to usage on the plateform after 2015. The current usage metrics is available 48-96 hours after online publication and is updated daily on week days.

Initial download of the metrics may take a while.