Open Access

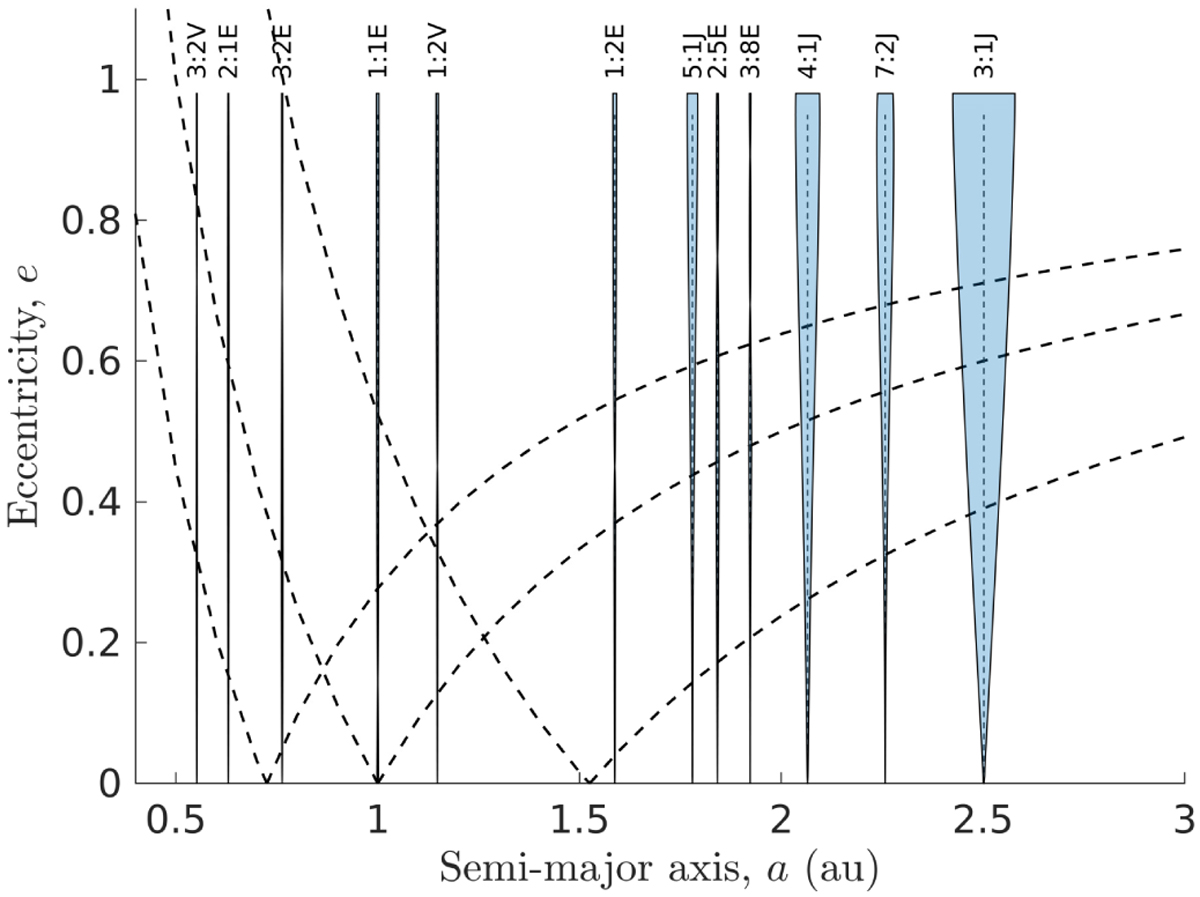
Fig. 11

image

Download original image

Strongest mean-motion resonances at semi-major axis a < 2.5 au. The filled light-blue area represents the resonance width, computed with an analytic method (see Morbidelli 2002) for a fixed value of inclination of 15°.

Current usage metrics show cumulative count of Article Views (full-text article views including HTML views, PDF and ePub downloads, according to the available data) and Abstracts Views on Vision4Press platform.

Data correspond to usage on the plateform after 2015. The current usage metrics is available 48-96 hours after online publication and is updated daily on week days.

Initial download of the metrics may take a while.