Open Access

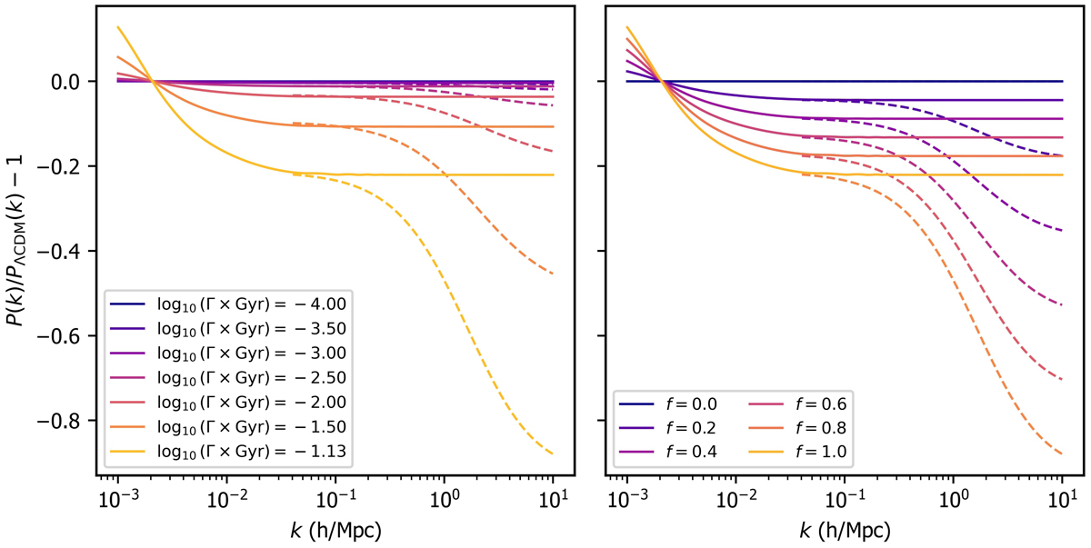
Fig. 2.

image

Download original image

Suppression of the linear (solid) and nonlinear (dashed) matter power spectrum due to one-body DDM. The left panel shows the effects of varying the decay rate Γ (in Gyr−1) for a models in which all DM is allowed to decay (f = 1.0). In the right panel, the fraction of decaying to total DM is varied, and the decay rate is fixed to 1/Γ = 13.5 Gyr.

Current usage metrics show cumulative count of Article Views (full-text article views including HTML views, PDF and ePub downloads, according to the available data) and Abstracts Views on Vision4Press platform.

Data correspond to usage on the plateform after 2015. The current usage metrics is available 48-96 hours after online publication and is updated daily on week days.

Initial download of the metrics may take a while.