Open Access

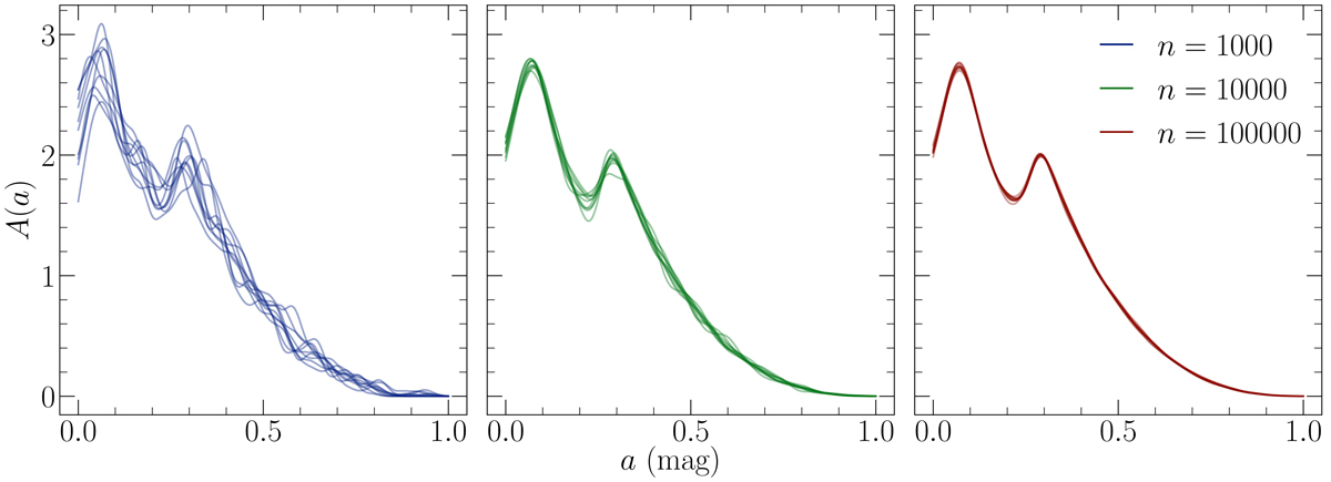
Fig. A.1.

image

Download original image

Comparison of synthetic contact binary amplitude distributions resulting from the kernel density estimation performed on samples of different sizes. The distribution is rather noisy for n = 1000, but the noise is already significantly reduced for n = 10000. When we increase the number of samples to 100000, the distribution effectively converges to the correct shape.

Current usage metrics show cumulative count of Article Views (full-text article views including HTML views, PDF and ePub downloads, according to the available data) and Abstracts Views on Vision4Press platform.

Data correspond to usage on the plateform after 2015. The current usage metrics is available 48-96 hours after online publication and is updated daily on week days.

Initial download of the metrics may take a while.