Open Access

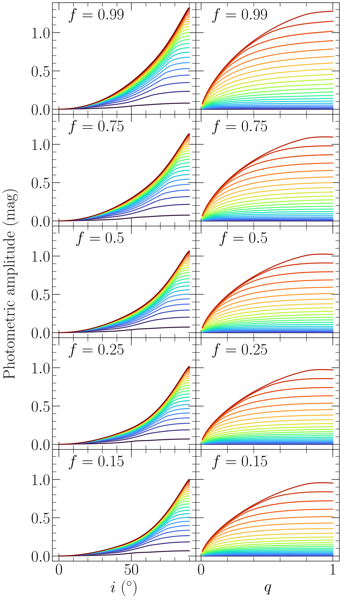
Fig. 2.

image

Download original image

Dependence of the contact binary photometric amplitude on the orbital inclination i for different fixed values of the mass ratio q (left) and vice versa (right), conditional on distinct values of the fill-out factor f. For each panel, the transition from blue to red indicates the gradual increase in the fixed parameter from its minimum to its maximum value.

Current usage metrics show cumulative count of Article Views (full-text article views including HTML views, PDF and ePub downloads, according to the available data) and Abstracts Views on Vision4Press platform.

Data correspond to usage on the plateform after 2015. The current usage metrics is available 48-96 hours after online publication and is updated daily on week days.

Initial download of the metrics may take a while.