Open Access

Fig. 2

image

Download original image

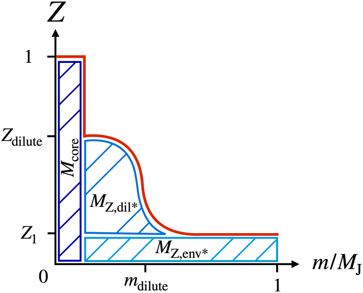
Distribution of heavy elements for a model with a dilute core. The three hashed areas correspond to the mass of the compact core (only made of heavy elements), the mass of heavy elements in the dilute core region excluding the area where Z < Z1, and the mass of heavy elements in the rest of the envelope (where Z < Z1). Z1 is the mass fraction of heavy elements in the outer envelope. Zdilute is the maximum mass fraction in the dilute core, mdilute monitors the extent of the dilute core in terms of mass.

Current usage metrics show cumulative count of Article Views (full-text article views including HTML views, PDF and ePub downloads, according to the available data) and Abstracts Views on Vision4Press platform.

Data correspond to usage on the plateform after 2015. The current usage metrics is available 48-96 hours after online publication and is updated daily on week days.

Initial download of the metrics may take a while.