Open Access

Fig. 1

image

Download original image

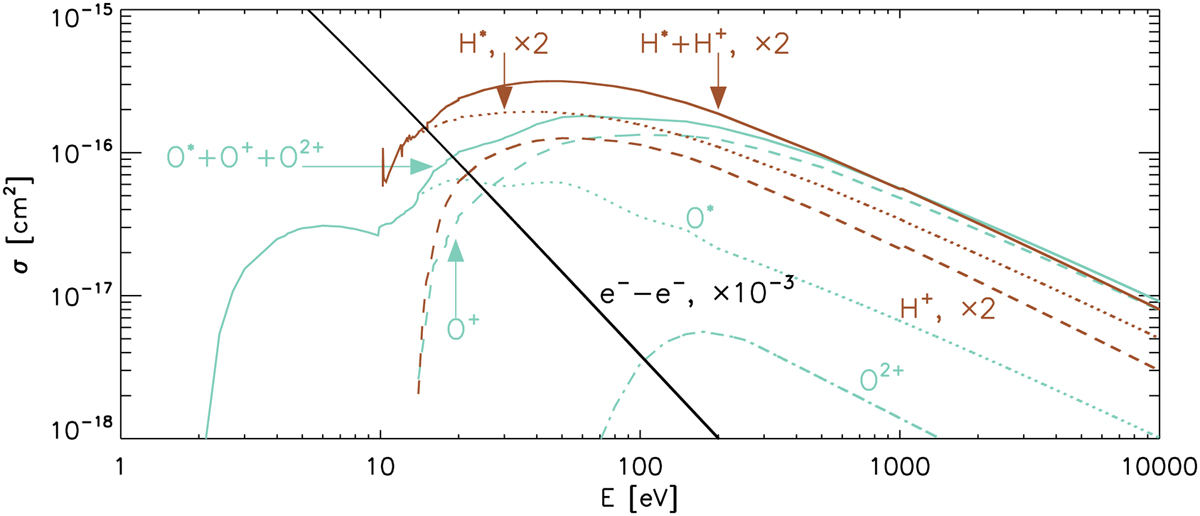
Cross sections for excitation (H*, O*), ionization (single, H+, O+, and double, O2+) and total inelastic (=excitation + ionization) collisions of photoelectrons with ground-level H and O atoms (LG90 set, see Appendix A). The H cross sections have been multiplied by ×2 to better reveal the significance of collisions with both types of atoms in an O–H mixture with ƒOn/Hn = 1/2. We also show the adopted electron-electron pseudo-cross sections multiplied by ×10−3.

Current usage metrics show cumulative count of Article Views (full-text article views including HTML views, PDF and ePub downloads, according to the available data) and Abstracts Views on Vision4Press platform.

Data correspond to usage on the plateform after 2015. The current usage metrics is available 48-96 hours after online publication and is updated daily on week days.

Initial download of the metrics may take a while.