Open Access

Fig. 2

image

Download original image

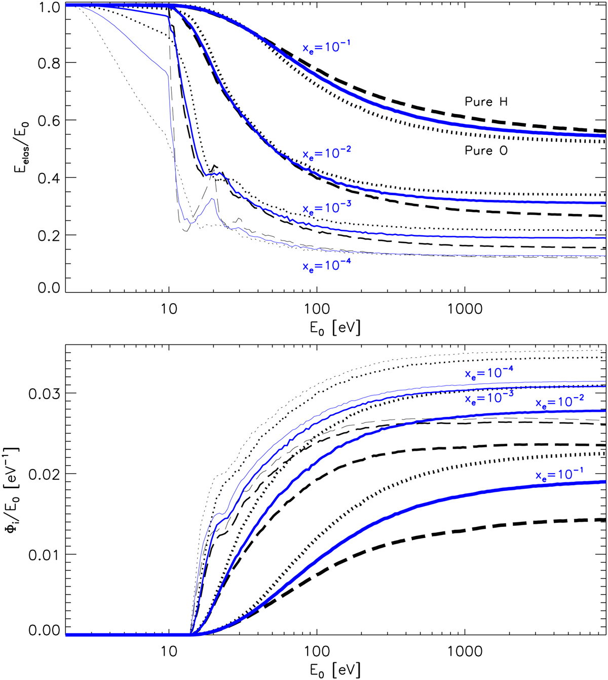
Some calculated properties from the slowing down of photoelectrons. Top: fraction of the photoelectron initial energy E0 that is transferred to the gas in elastic collisions. Bottom: number of secondary ions created by a photoelectron of initial energy E0, normalized by E0. The three color-style combinations refer to pure H (black, long dashed), pure O (black, dotted), and an O–H mixture with ƒOn/Hn = 1/2 (blue, solid). For each mixture, the four curves that are displayed (distinguishable by their thickness) refer to fractional ionizations log10(xe) = −1 (thickest), −2, −3, and −4 (thinnest). Although not shown for the sake of clarity, the Eelas/E0 ratio for E0≳100eV for pure H becomes essentially independent of fractional ionization at xe<10−4. In contrast, Eelas/E0 continues to drop with xe for the other O–H mixtures. For example, for E0>200eV and xe~10−6, Eelas/E0~0.05, and 0.07 for pure O and the O–H mixture with ƒOn/Hn=1/2, respectively. Calculations were done with the LG90 set of cross sections.

Current usage metrics show cumulative count of Article Views (full-text article views including HTML views, PDF and ePub downloads, according to the available data) and Abstracts Views on Vision4Press platform.

Data correspond to usage on the plateform after 2015. The current usage metrics is available 48-96 hours after online publication and is updated daily on week days.

Initial download of the metrics may take a while.