Open Access

Fig. 3

image

Download original image

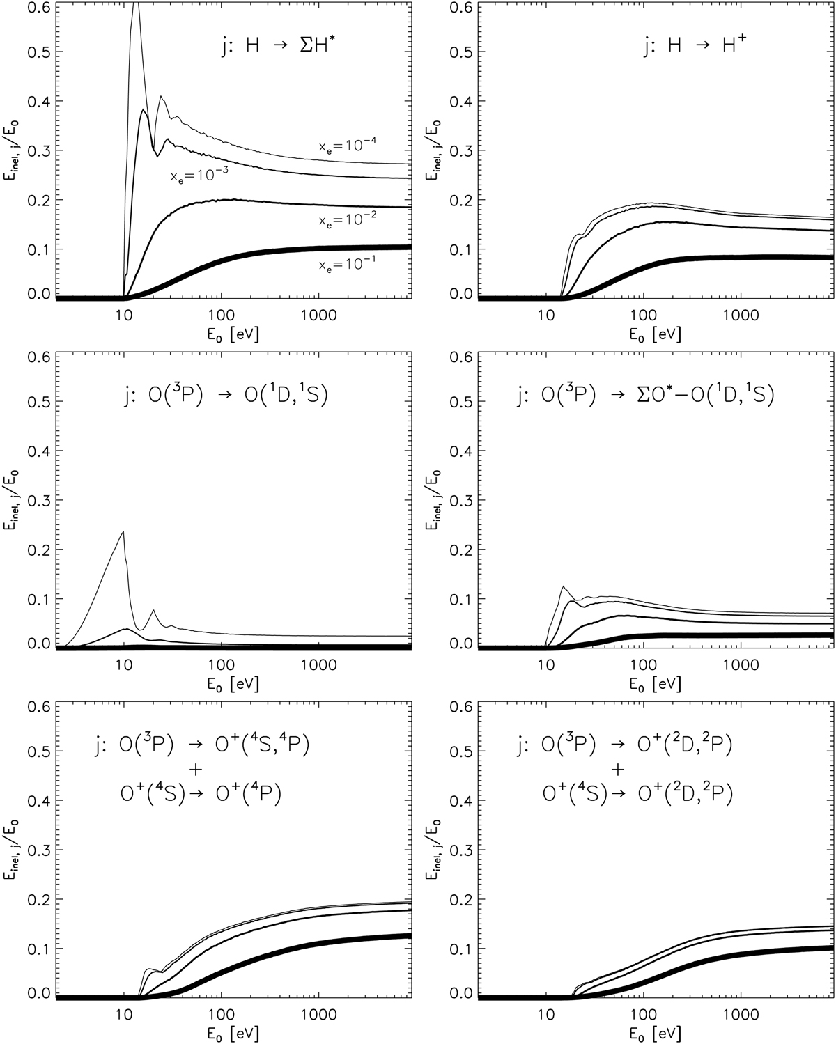
For an O–H mixture, ƒOn/Hn=1/2 is the fraction of the photoelectron energy, E0, that goes into various inelastic channels specified by their initial and end levels. Then, H* and O* refer to the summation over all excited levels within the corresponding neutral atoms. For each panel, the four curves that are displayed (distinguishable by their thickness) refer to fractional ionizations log10(xe)=−1 (thickest), −2, −3, and −4 (thinnest). Calculations done with the LG90 set of cross sections.

Current usage metrics show cumulative count of Article Views (full-text article views including HTML views, PDF and ePub downloads, according to the available data) and Abstracts Views on Vision4Press platform.

Data correspond to usage on the plateform after 2015. The current usage metrics is available 48-96 hours after online publication and is updated daily on week days.

Initial download of the metrics may take a while.