Open Access

Fig. 5

image

Download original image

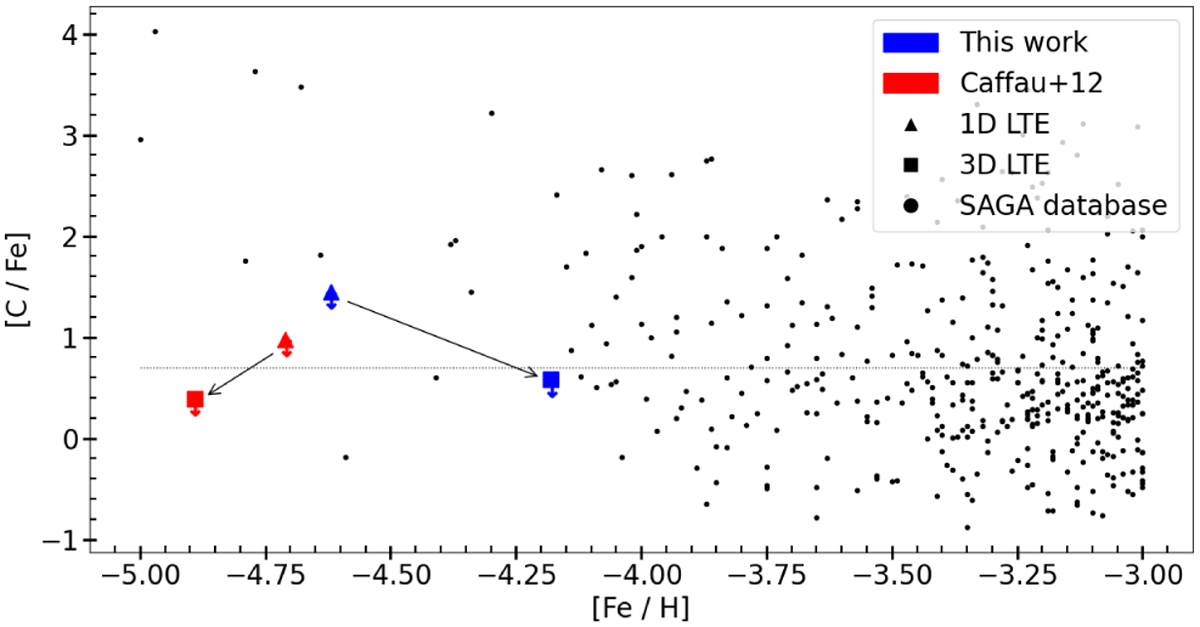
Upper limits on [C/Fe] for SDSS J102915+172927. The 1D LTE and 3D LTE results are shown as triangles and squares, respectively, for the original limits (Caffau et al. 2012, red) and the results of this work (blue). For comparison, we show the [C/Fe] abundance for a sample of metal-poor stars from the SAGA database (Suda et al. 2008, black circles) and the cut-off for carbon-enhancement at [C/Fe] = 0.7 (dotted line) from Aoki et al. (2007).

Current usage metrics show cumulative count of Article Views (full-text article views including HTML views, PDF and ePub downloads, according to the available data) and Abstracts Views on Vision4Press platform.

Data correspond to usage on the plateform after 2015. The current usage metrics is available 48-96 hours after online publication and is updated daily on week days.

Initial download of the metrics may take a while.