Open Access

Fig. 2

image

Download original image

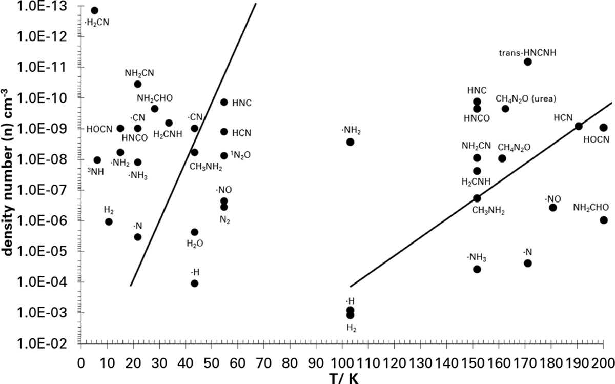
Density of the reagents detected in Sgr B2(N), as well as that of cyanamide (NH2CN), carbodiimide (HNCNH), and urea (CH4N2O). The density number in cm−3 is represented on the vertical axis, and the molecular rotational temperature (Trot) in K is on the horizontal axis. The bibliography related to each of the species is available in Col. (9) of Table 4.

Current usage metrics show cumulative count of Article Views (full-text article views including HTML views, PDF and ePub downloads, according to the available data) and Abstracts Views on Vision4Press platform.

Data correspond to usage on the plateform after 2015. The current usage metrics is available 48-96 hours after online publication and is updated daily on week days.

Initial download of the metrics may take a while.