Open Access

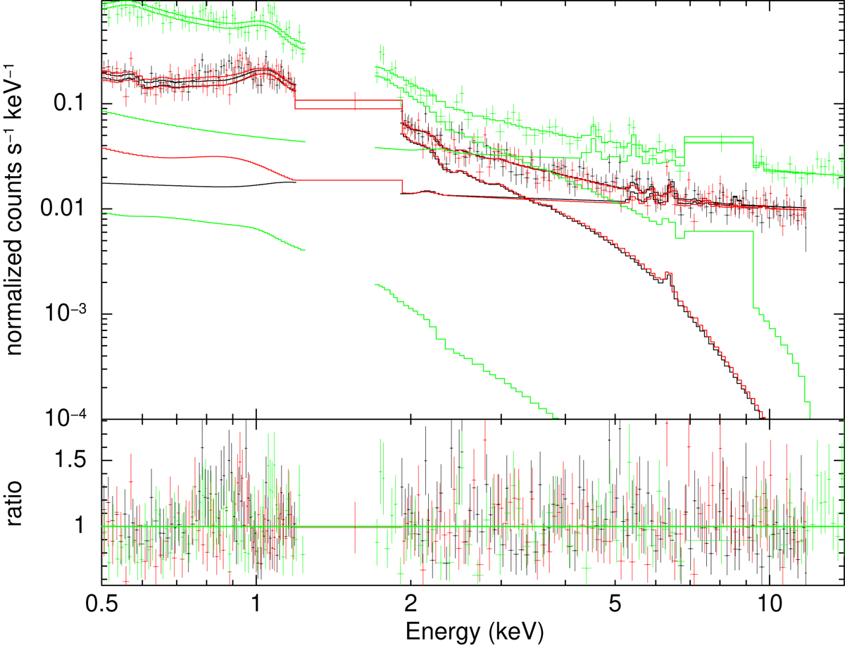
Fig. 12.

image

Download original image

EPIC spectrum of A1213 extracted from the white circle shown in Fig. 11. The circle has a radius of 5′. Black points are MOS1, red points MOS2, and green points pn detector data. The lines are the best-fit sky background and source models for the three EPIC detectors. The data around 1.5 keV and 7 keV are excluded from the analysis to avoid strong instrumental line emissions (see Ghirardini et al. 2019). The bottom panel shows the data divided by the folded model.

Current usage metrics show cumulative count of Article Views (full-text article views including HTML views, PDF and ePub downloads, according to the available data) and Abstracts Views on Vision4Press platform.

Data correspond to usage on the plateform after 2015. The current usage metrics is available 48-96 hours after online publication and is updated daily on week days.

Initial download of the metrics may take a while.