Open Access

Fig. 3

image

Download original image

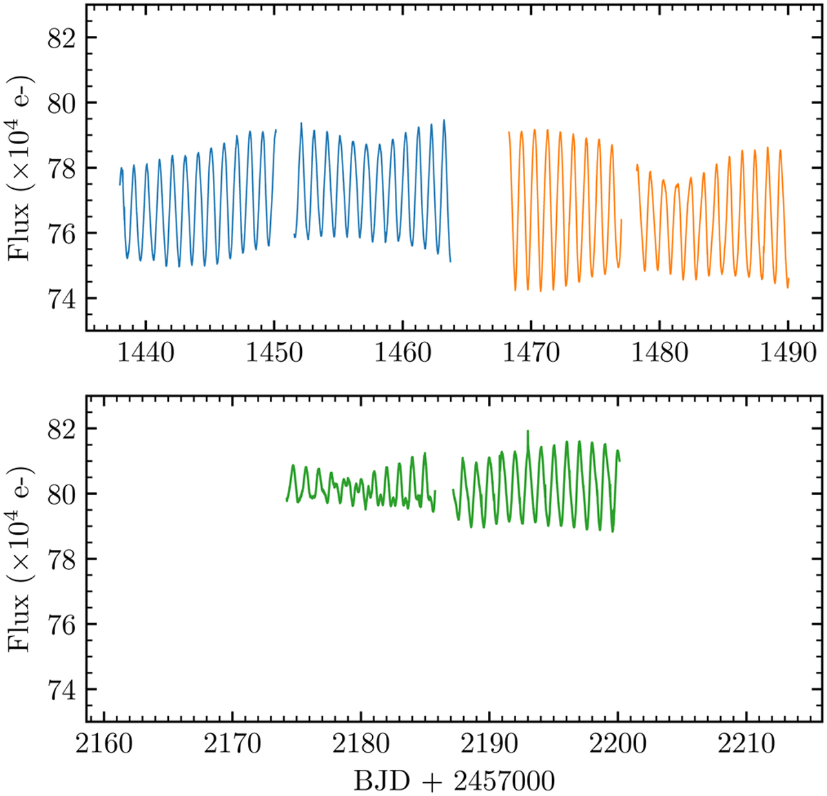
TESS light curves of AF Lep obtained in 2018 (sectors five and six, top panel) and 2020 (sector 32, bottom panel). The ~1 d rotation period is clearly visible, although the amplitude varies between the two epochs.

Current usage metrics show cumulative count of Article Views (full-text article views including HTML views, PDF and ePub downloads, according to the available data) and Abstracts Views on Vision4Press platform.

Data correspond to usage on the plateform after 2015. The current usage metrics is available 48-96 hours after online publication and is updated daily on week days.

Initial download of the metrics may take a while.