Open Access

Fig. B.3.

image

Download original image

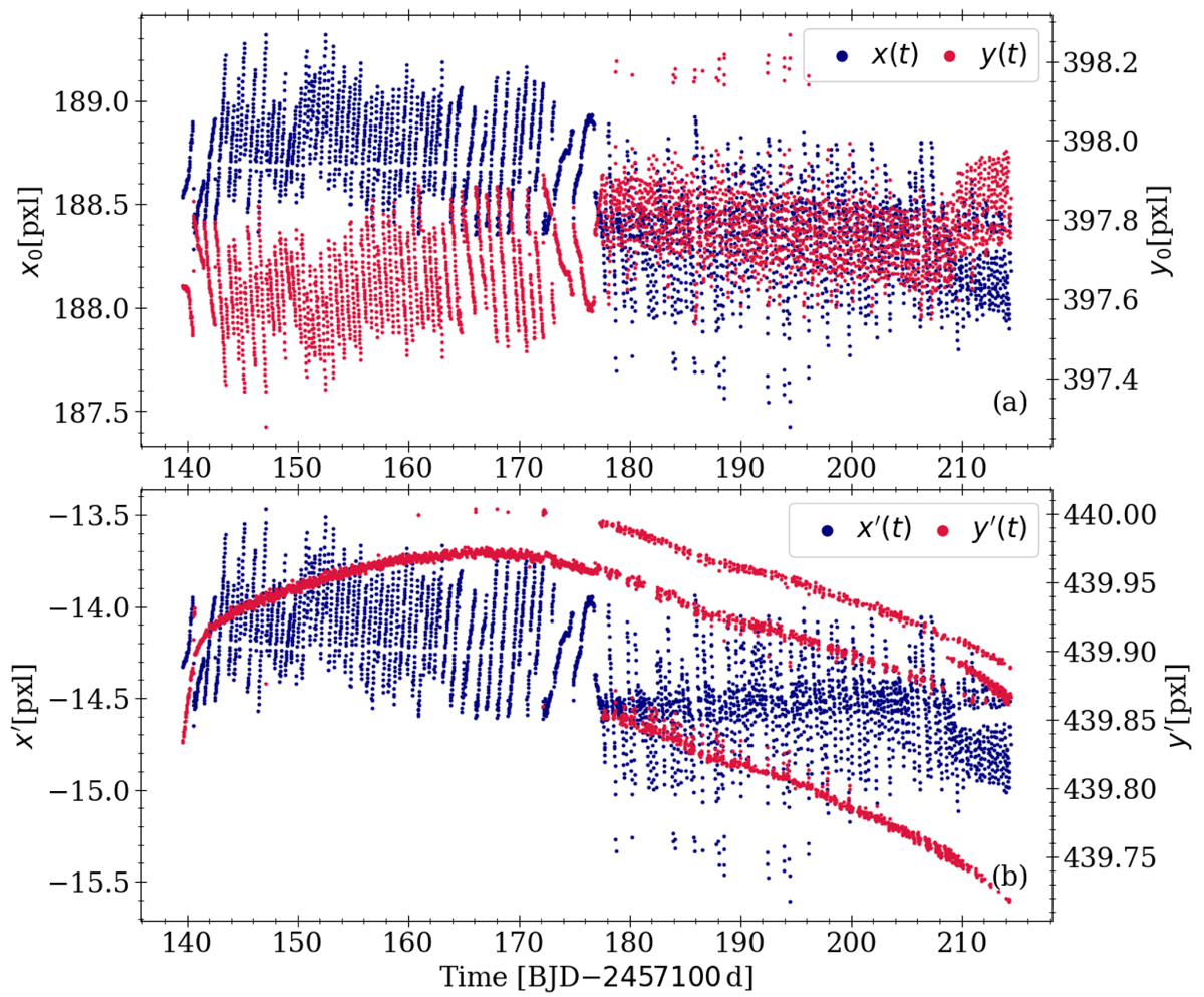
Detector coordinates of the sample star Gaia DR3 604895948360165888 over the course of C05. Panel (a) shows the x and y coordinates while panel (b) shows x′ and y′ after the rotation. Note that significantly smaller scale for y′ compared with x′.

Current usage metrics show cumulative count of Article Views (full-text article views including HTML views, PDF and ePub downloads, according to the available data) and Abstracts Views on Vision4Press platform.

Data correspond to usage on the plateform after 2015. The current usage metrics is available 48-96 hours after online publication and is updated daily on week days.

Initial download of the metrics may take a while.