Open Access

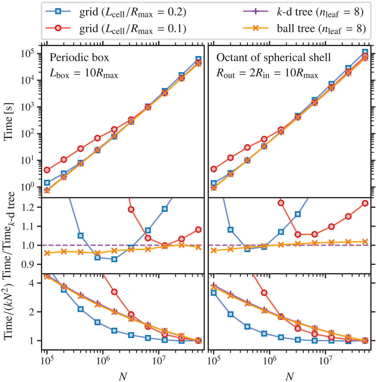
Fig. 8

image

Download original image

Comparisons of the computational costs of pair-counting routines based on different data structures for periodic uniform random samples with different numbers of points in a cubic volume (left) and for sections between Rin and Rout of the same catalogues with respect to a corner of the boxes, where Rout is equal to the box size (right). The middle and bottom panels show results normalised by the costs with the k-d tree and kN2, respectively. Here, the value of k is chosen such that the normalised costs at N = 5 × 107 are unity.

Current usage metrics show cumulative count of Article Views (full-text article views including HTML views, PDF and ePub downloads, according to the available data) and Abstracts Views on Vision4Press platform.

Data correspond to usage on the plateform after 2015. The current usage metrics is available 48-96 hours after online publication and is updated daily on week days.

Initial download of the metrics may take a while.