Open Access

Fig. B.1.

image

Download original image

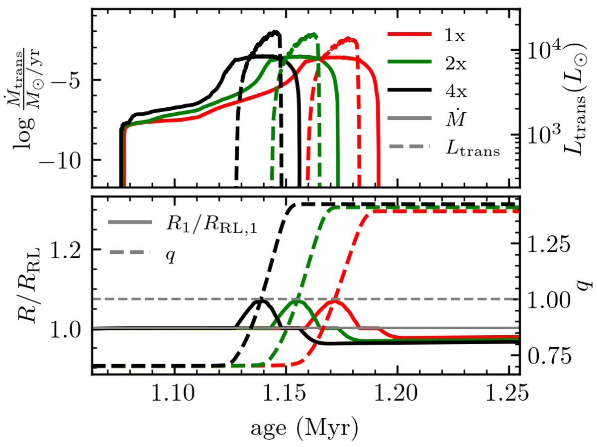
Evolution of the MT rate and ET rate (top panel) and the fractional RL radius and mass ratio (bottom panel) during fast case A MT for a 20 + 14 M binary, computed using the explicit evaluation of the tidal deformation corrections in MESA r15140. The color indicates what time resolution scale has been used.

Current usage metrics show cumulative count of Article Views (full-text article views including HTML views, PDF and ePub downloads, according to the available data) and Abstracts Views on Vision4Press platform.

Data correspond to usage on the plateform after 2015. The current usage metrics is available 48-96 hours after online publication and is updated daily on week days.

Initial download of the metrics may take a while.