Open Access

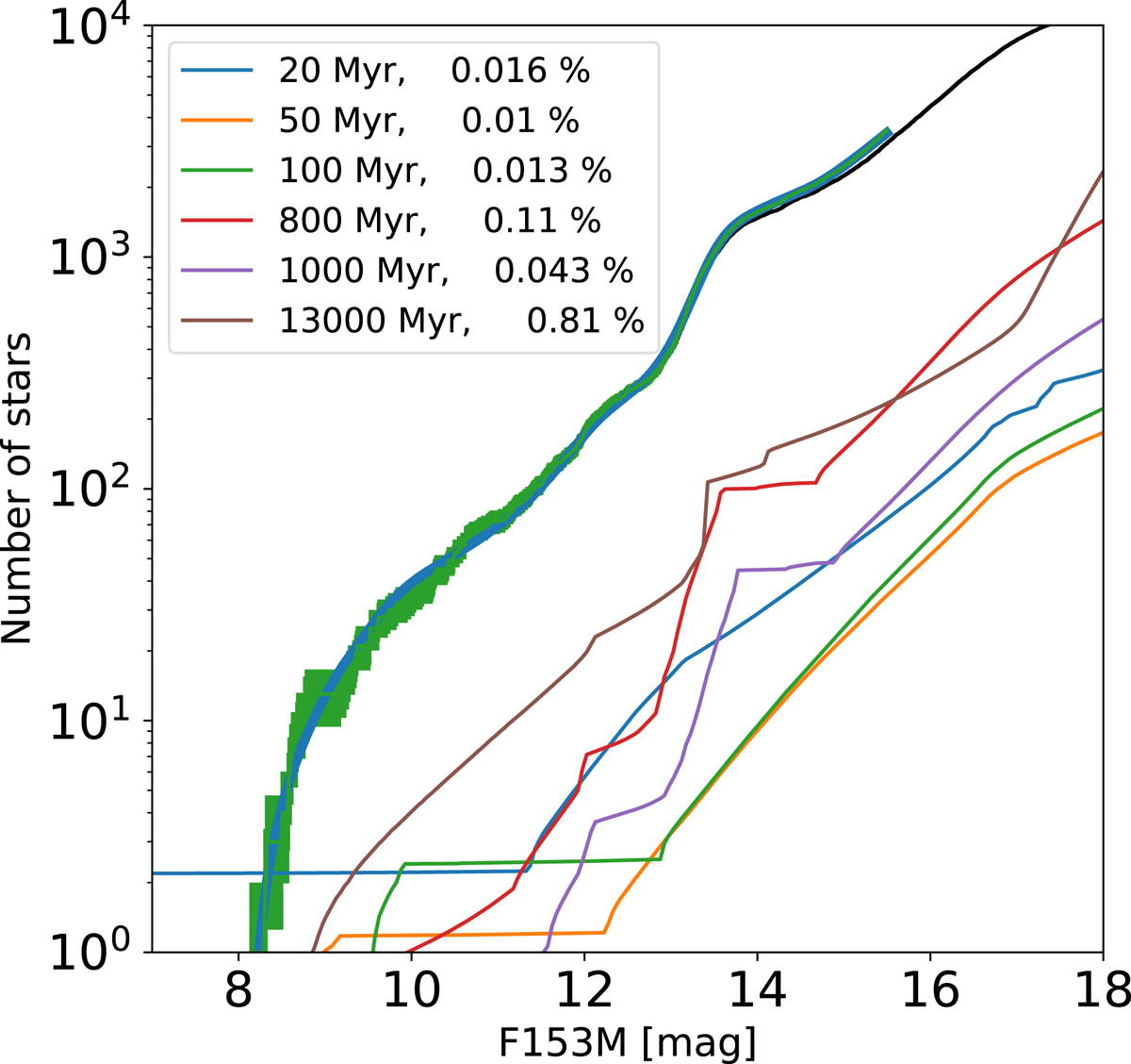
Fig. 5.

image

Download original image

Fit of cumulative theoretical luminosity functions to the measured cumulative luminosity function of the NSD (data: black; data after completeness correction and including error bars: green; best fit: blue). Theoretical functions of all stellar population that contribute more than 1% of originally formed stellar mass are colour-coded (see inset).

Current usage metrics show cumulative count of Article Views (full-text article views including HTML views, PDF and ePub downloads, according to the available data) and Abstracts Views on Vision4Press platform.

Data correspond to usage on the plateform after 2015. The current usage metrics is available 48-96 hours after online publication and is updated daily on week days.

Initial download of the metrics may take a while.