Open Access

Fig. 8

image

Download original image

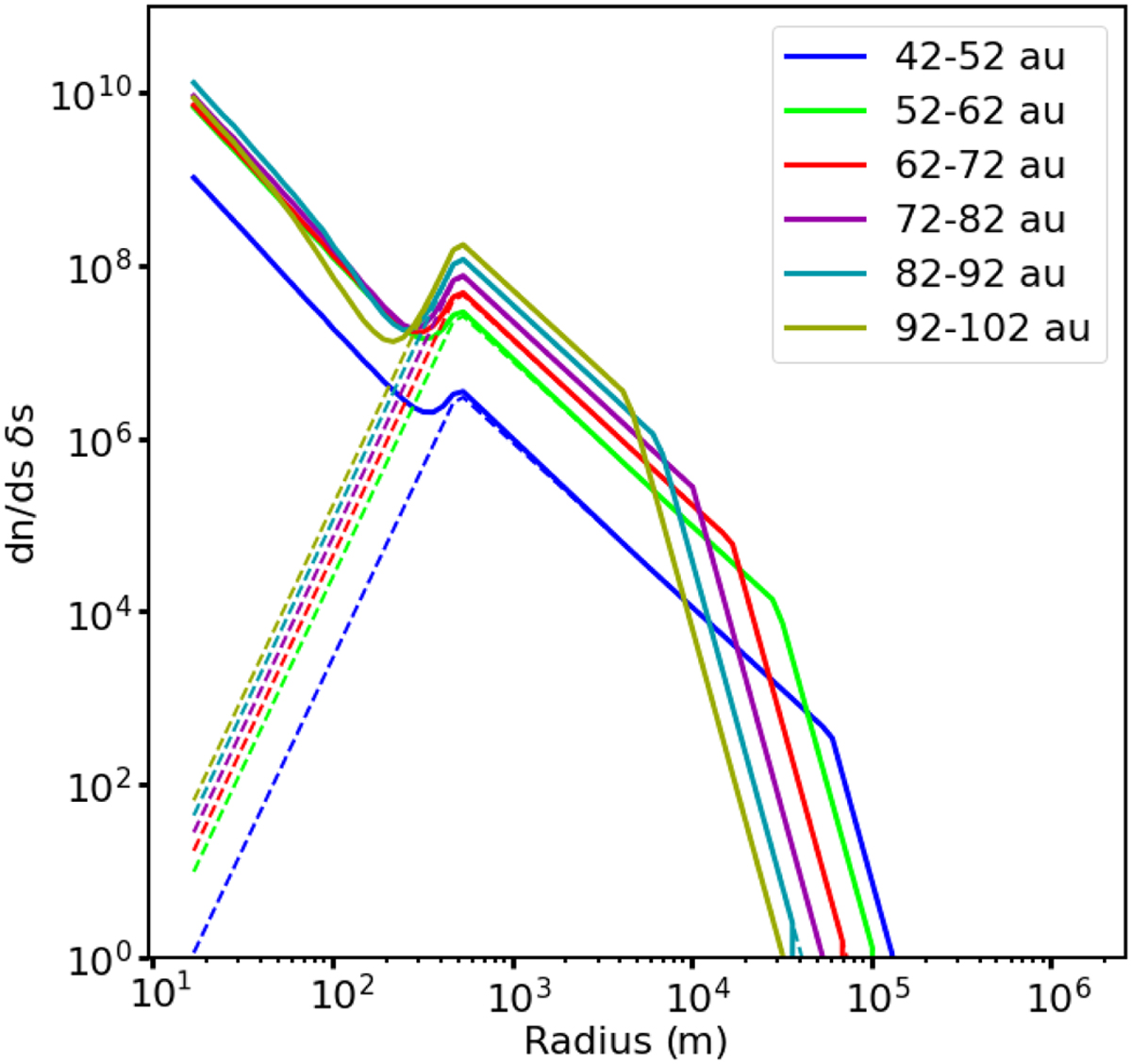
Initial (dashed lines) and final (solid lines) size-number distributions of the cold bodies from a simulation that begins with Π = 4.4, qm = 2.9, qs = 6.3, and γ = 3.6. The simulation also includes hot, resonant, and scattering populations, which are not plotted here for clarity, but for which the overall evolution is similar. Collisional evolution is largely confined to sizes smaller than ~500 m. The number of small bodies increases in bins that lie farther out, even as the total mass declines as the γ parameter pushes the mass distribution towards smaller sizes. The Π parameter creates the larger discontinuity between the first and second radial bins.

Current usage metrics show cumulative count of Article Views (full-text article views including HTML views, PDF and ePub downloads, according to the available data) and Abstracts Views on Vision4Press platform.

Data correspond to usage on the plateform after 2015. The current usage metrics is available 48-96 hours after online publication and is updated daily on week days.

Initial download of the metrics may take a while.