Open Access

Fig. 6

image

Download original image

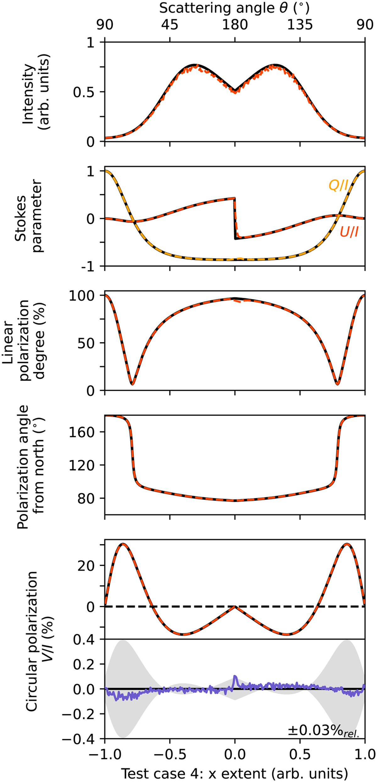
Circular polarization test case from P17 using the spheroidlike Müller matrix (Eq. (46)) with assumed orientation of the particles along the z-axis. We show the intensity I, Stokes U/I and Q/I, the linear polarization degree and angle, and the circular polarization V/I. The analytic solution is indicated by the dashed lines in black and the MCPOL model results in red and orange. For the circular polarization we also plot the difference from the analytical solution in the lower panel. The absolute difference is shown in blue and a relative difference of σ (∆(x)) = ±3 × 10−4 (Eq. (50)) is shaded in grey.

Current usage metrics show cumulative count of Article Views (full-text article views including HTML views, PDF and ePub downloads, according to the available data) and Abstracts Views on Vision4Press platform.

Data correspond to usage on the plateform after 2015. The current usage metrics is available 48-96 hours after online publication and is updated daily on week days.

Initial download of the metrics may take a while.