Open Access

Fig. 7

image

Download original image

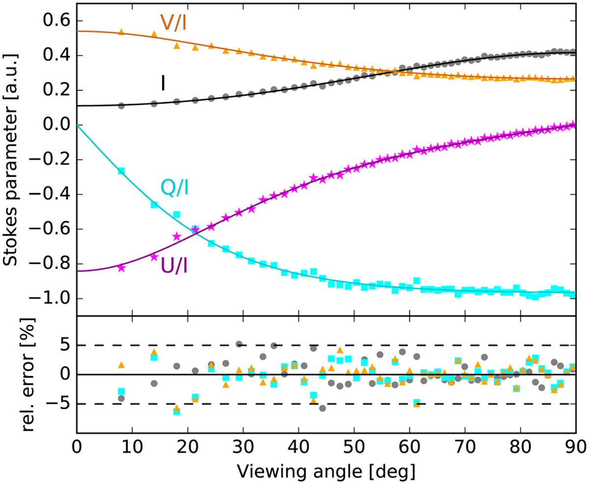
Dichroism and birefringence test case. Intensity I (black), reduced Stokes Q/I (cyan), U/I (magenta), and circular polarization V/I (orange) for different viewing angles. Analytic solutions (Eq. (53)) are represented by lines and MCPOL results by symbols. The relative error of the numerical run against the analytic solution is shown in the bottom panel using the same color code.

Current usage metrics show cumulative count of Article Views (full-text article views including HTML views, PDF and ePub downloads, according to the available data) and Abstracts Views on Vision4Press platform.

Data correspond to usage on the plateform after 2015. The current usage metrics is available 48-96 hours after online publication and is updated daily on week days.

Initial download of the metrics may take a while.