Open Access

Fig. 9

image

Download original image

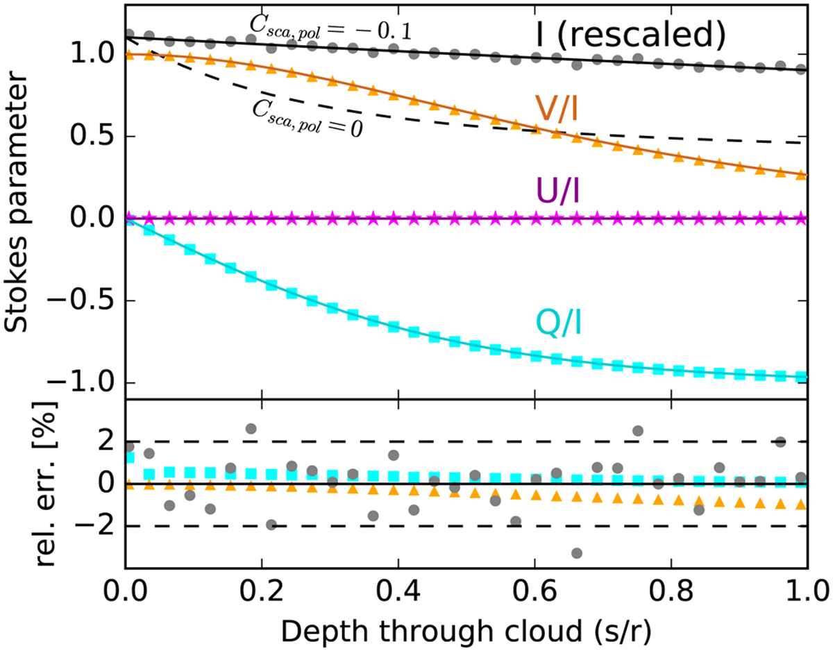
Albedo test case. Elements of the reduced Stokes vector of photons scattered out of a cloud having spheroidal particles with Csca,pol = −0.1. Intensity using spheroids with Csca,pol = 0 is shown as a dashed line. Analytic solutions Eq. (58)) are represented by lines and MCPOL results by symbols. Intensities in black are multiplied by a factor of 11. The rest of the notation is the same as in Fig. 7 and Table A.1.

Current usage metrics show cumulative count of Article Views (full-text article views including HTML views, PDF and ePub downloads, according to the available data) and Abstracts Views on Vision4Press platform.

Data correspond to usage on the plateform after 2015. The current usage metrics is available 48-96 hours after online publication and is updated daily on week days.

Initial download of the metrics may take a while.