Open Access

Fig. 6

image

Download original image

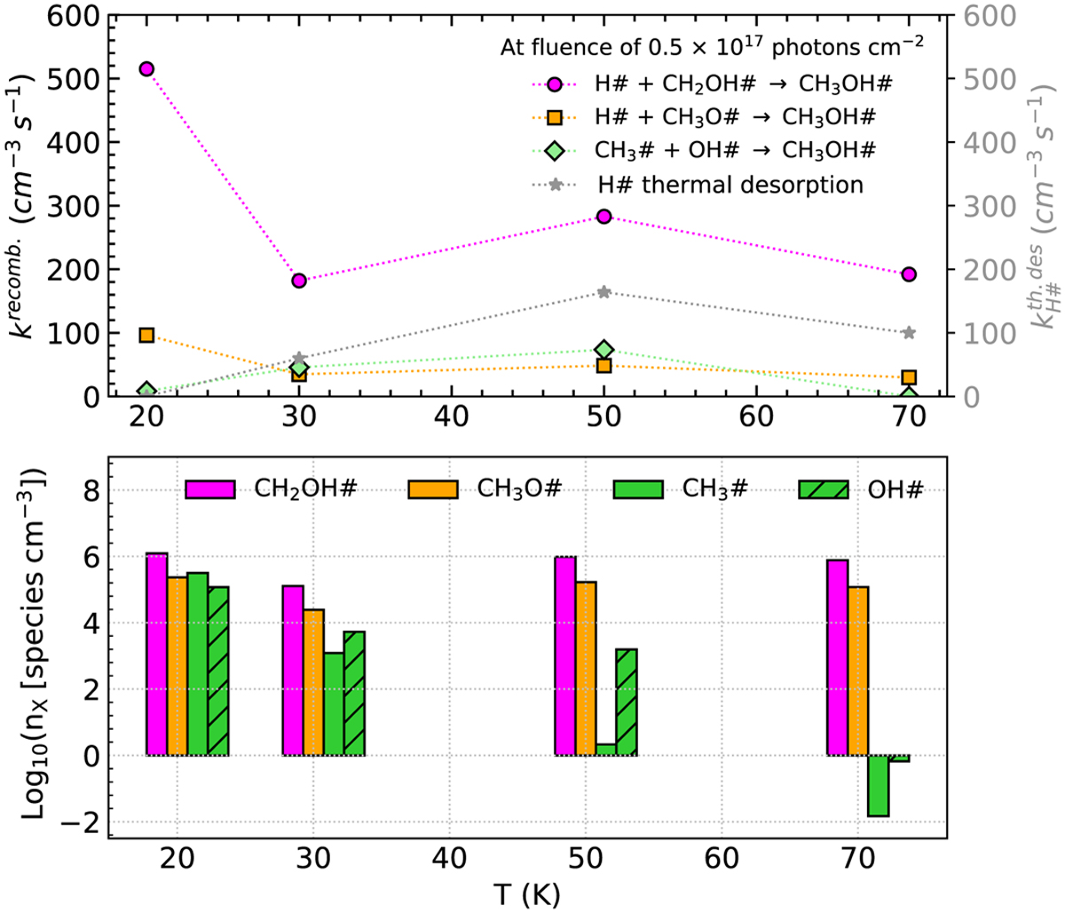
Methanol ice recombination rate as a function of temperature occurring at a selected fluence (top). At all temperatures, reaction R5 (violet circles) occurs faster than reactions R6 (orange squares) and R7 (green diamonds). Hydrogen thermal desorption is indicated by the grey stars and dotted lines. Bottom: logarithm number density of the radicals (X) formed after CH3OH ice photolysis.

Current usage metrics show cumulative count of Article Views (full-text article views including HTML views, PDF and ePub downloads, according to the available data) and Abstracts Views on Vision4Press platform.

Data correspond to usage on the plateform after 2015. The current usage metrics is available 48-96 hours after online publication and is updated daily on week days.

Initial download of the metrics may take a while.