Open Access

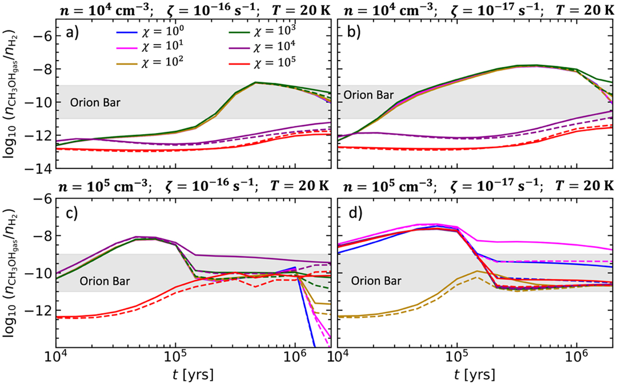
Fig. 9

image

Download original image

Abundances of gas-phase methanol at different physical conditions and T = 20 K. The solid and dashed lines show the abundances in the models with and without methanol ice photolysis, respectively. The line colours indicate the strength of the UV radiation field. The grey shaded area indicates methanol abundance in the Orion Bar PDR region (Cuadrado et al. 2017) only for comparison purposes with an astrophysical environment.

Current usage metrics show cumulative count of Article Views (full-text article views including HTML views, PDF and ePub downloads, according to the available data) and Abstracts Views on Vision4Press platform.

Data correspond to usage on the plateform after 2015. The current usage metrics is available 48-96 hours after online publication and is updated daily on week days.

Initial download of the metrics may take a while.