Open Access

Fig. 3

image

Download original image

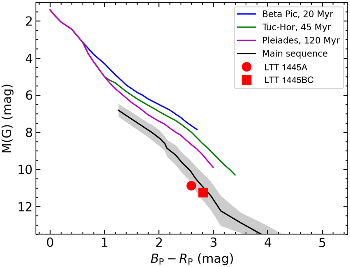
Location of LTT 1445A and BC in the Gaia colour-magnitude diagram. The binary BC is not resolved by Gaia. The young stellar isochrones of the β Pic (blue) and Tucana-Horologium (green) moving groups and the Pleiades cluster (purple) are taken from Luhman (2018), and the main sequence of field stars (black) is taken from Cifuentes et al. (2020). The grey area represents the dispersion observed among main-sequence stars.

Current usage metrics show cumulative count of Article Views (full-text article views including HTML views, PDF and ePub downloads, according to the available data) and Abstracts Views on Vision4Press platform.

Data correspond to usage on the plateform after 2015. The current usage metrics is available 48-96 hours after online publication and is updated daily on week days.

Initial download of the metrics may take a while.