Open Access

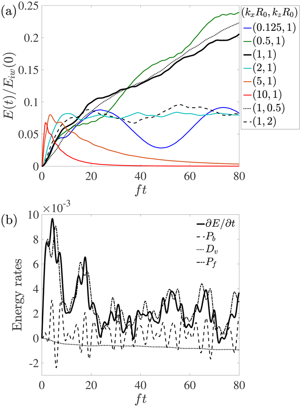
Fig. 11

image

Download original image

Perturbation energy E(t) for the radiating modes created by incoming inertial waves with various wavenumber sets (kxR0, kzR0; panel a). The energy is normalized by the initial inertial-wave energy Eiw(t = 0) for comparison among different cases. Panel b displays the time rates for perturbation energy ∂E/t (solid), base shear contribution Pb (dashed), viscous dissipation Dv (dotted), and power injected by the incoming inertial wave–vortex interaction Pf (dash-dot) for the case with (kxR0, kzR0) = (1, 1). The energy rates are normalized by fEiw(0) for nondimensionalization.

Current usage metrics show cumulative count of Article Views (full-text article views including HTML views, PDF and ePub downloads, according to the available data) and Abstracts Views on Vision4Press platform.

Data correspond to usage on the plateform after 2015. The current usage metrics is available 48-96 hours after online publication and is updated daily on week days.

Initial download of the metrics may take a while.