Open Access

Fig. 2

image

Download original image

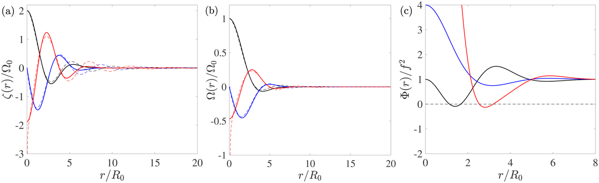
Proflies of base vorticity ζ(r, black in panel a) and base angular velocity Ω(r, black in panel b) and their first (blue) and second (red) derivatives for the current model (17, solid lines) and the model (16) from Grooms et al. (2010, dashed lines). Panel c: profiles of the Rayleigh discriminant Φ(r) for Ω/f = −1 (black), Ω0/f = 0.5 (blue) and Ω0/f = 2 (red).

Current usage metrics show cumulative count of Article Views (full-text article views including HTML views, PDF and ePub downloads, according to the available data) and Abstracts Views on Vision4Press platform.

Data correspond to usage on the plateform after 2015. The current usage metrics is available 48-96 hours after online publication and is updated daily on week days.

Initial download of the metrics may take a while.