Open Access

Fig. 5

image

Download original image

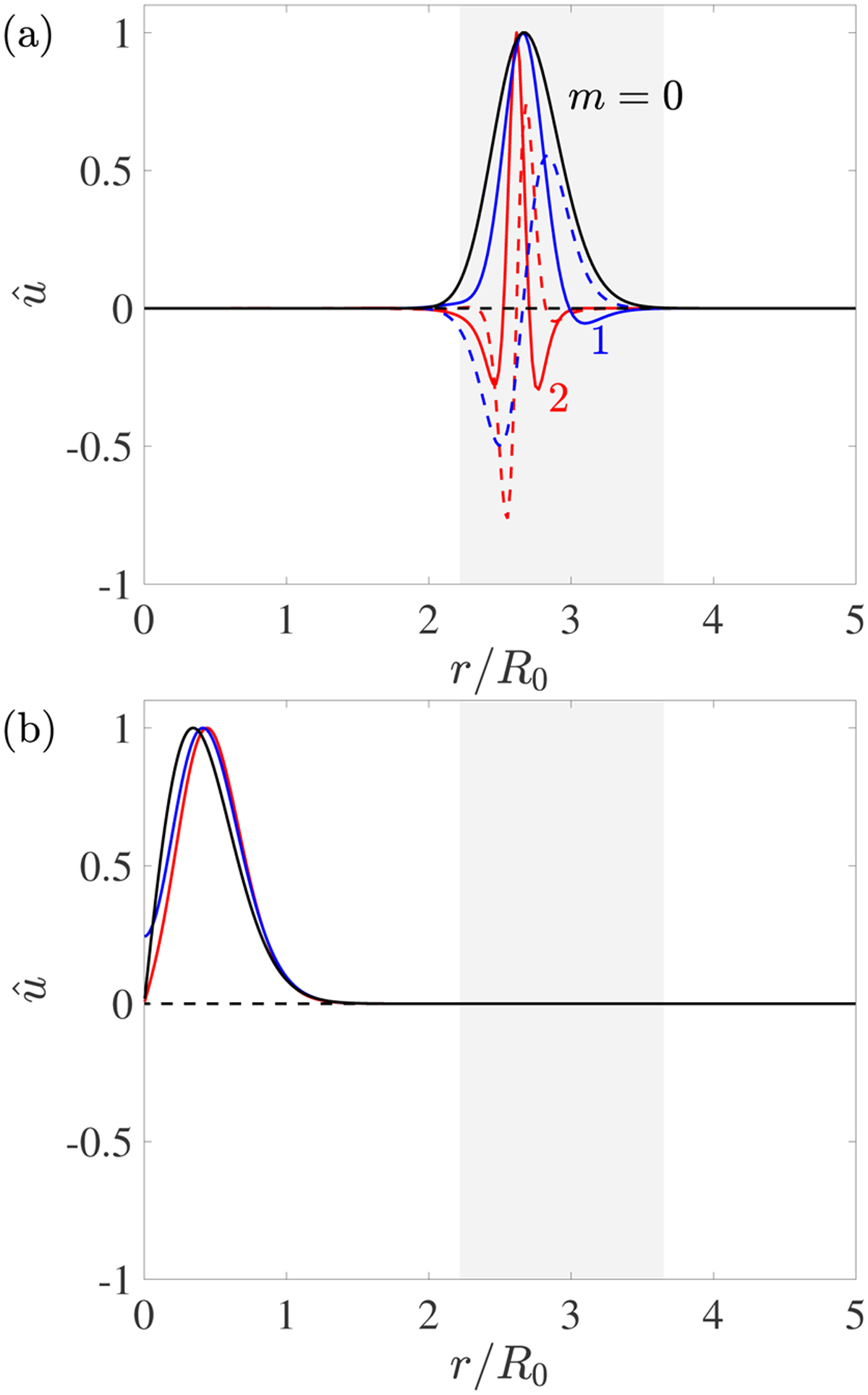
Real (solid) and imaginary (dashed) parts of (a) the most unstable mode and (b) the first neutral mode with the highest frequency at Ω0/f = 3 and kzR0 = 10 for different azimuthal wavenumbers: m = 0 (black), m = 1 (blue), and m = 2 (red). The gray-shaded region shows where the Rayleigh discriminant Φ is negative.

Current usage metrics show cumulative count of Article Views (full-text article views including HTML views, PDF and ePub downloads, according to the available data) and Abstracts Views on Vision4Press platform.

Data correspond to usage on the plateform after 2015. The current usage metrics is available 48-96 hours after online publication and is updated daily on week days.

Initial download of the metrics may take a while.