Open Access

Fig. 6

image

Download original image

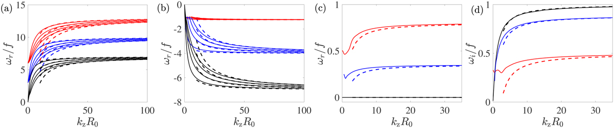
Frequency ωr as a function of the vertical wavenumber kz of the neutral modes for the four upper branches (panel a) and the four lower branches (panel b) at Ω0/f = 3 for m = 0 (black), m = 1 (blue), and m = 2 (red). Frequency ωr (panel c) and growth rate ωi (panel d), respectively, versus vertical wavenumber kz for the most unstable mode at Ω0/f = 3 for m = 0 (black), m = 1 (blue), and m = 2 (red). For all panels, solid lines are numerical results and dashed lines denote the WKBJ predictions for panel a: Eq. (44), panel b: Eq. (45) for m = 0, 1 (core mode) and (A.22) for m = 2 (ring mode), and panels c and d: Eq. (46).

Current usage metrics show cumulative count of Article Views (full-text article views including HTML views, PDF and ePub downloads, according to the available data) and Abstracts Views on Vision4Press platform.

Data correspond to usage on the plateform after 2015. The current usage metrics is available 48-96 hours after online publication and is updated daily on week days.

Initial download of the metrics may take a while.