Open Access

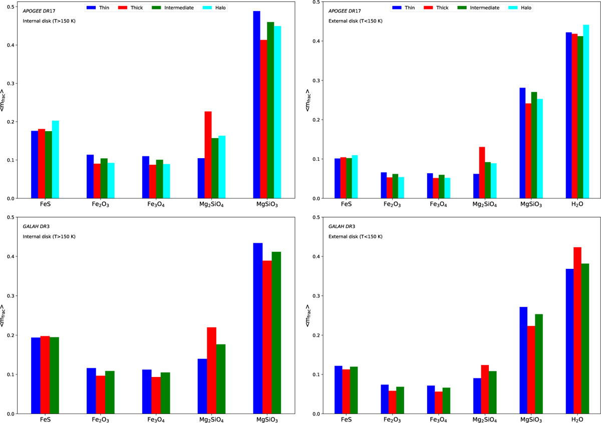
Fig. B.1

image

Download original image

Mean PBB mass fractions for galactic components, the internal disc (T>150 K, left panels), and the external disc (T<150 K, right panels). The selected GALAH DR3 sample only has one halo star, such that the mass fractions are not included.

Current usage metrics show cumulative count of Article Views (full-text article views including HTML views, PDF and ePub downloads, according to the available data) and Abstracts Views on Vision4Press platform.

Data correspond to usage on the plateform after 2015. The current usage metrics is available 48-96 hours after online publication and is updated daily on week days.

Initial download of the metrics may take a while.