Open Access

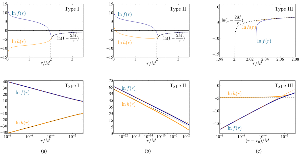
Fig. 1.

image

Download original image

Illustration of the topologically distinct global solutions in quadratic gravity. The solutions are obtained from solving (11) numerically with initial conditions given in Table 2. The top line displays the radial dependence of lnf (blue curve) and lnh (orange curve) for the solutions of (a) Type I, (b) Type II, and (c) Type III. The Schwarzschild solution with M = 10 and an event horizon at r/M = 2 is superimposed as the dashed line. The lower row shows the scaling behavior of the solutions as r → 0 (Type I and Type II) as well as for r − r0 → 0 (Type III) in a double logarithmic presentation. The scaling behaviors are (s, t)0 = ( − 2, 2)0 for Type I, (s, t)0 = ( − 1, −1)0 for Type II, and (s, t)r0 = (1, 0)r0 for Type III. Graphs of the respective power law are superimposed as dashed lines (black for h and orange for f). This links the asymptotically flat, global solutions to the classification of local scaling behaviors identified in Table 1.

Current usage metrics show cumulative count of Article Views (full-text article views including HTML views, PDF and ePub downloads, according to the available data) and Abstracts Views on Vision4Press platform.

Data correspond to usage on the plateform after 2015. The current usage metrics is available 48-96 hours after online publication and is updated daily on week days.

Initial download of the metrics may take a while.