Open Access

Fig. 2.

image

Download original image

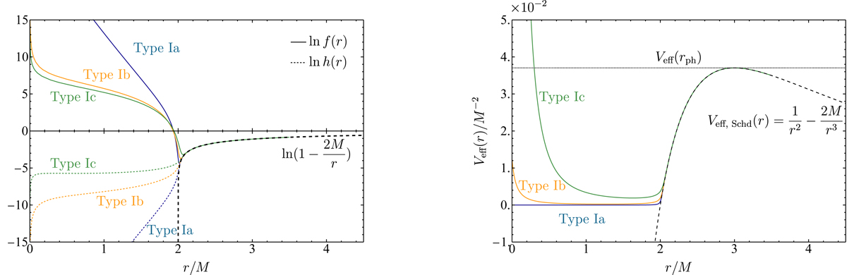
Refinement of the Type-I classification. The solutions arise from the initial conditions given in Table 2 for objects of mass M = 10. The left panel displays lnf (top, solid) and lnh (bottom, dashed), showing the typical behavior of the Type I solutions given in Fig. 1a. The refinement follows from considering Veff = h(r)/r2, shown in the right panel. For Type Ia solutions, Veff decreases monotonically for r < 3M. For Type Ib solutions, the potential has a stable minimum and Veff(0) < Veff(3M). The characteristic feature for Type Ic solutions is that ∞ > Veff(0) > Veff(3M).

Current usage metrics show cumulative count of Article Views (full-text article views including HTML views, PDF and ePub downloads, according to the available data) and Abstracts Views on Vision4Press platform.

Data correspond to usage on the plateform after 2015. The current usage metrics is available 48-96 hours after online publication and is updated daily on week days.

Initial download of the metrics may take a while.